Доповідь/Технічні науки – Автоматизовані системи
управління на виробництві
Головата Ю.Б., Семенцов
Г.Н., Скоробогата Н.З.
Івано-Франківський
національний технічний університет нафти і газу
СТАТИСТИЧНІ ВЛАСТИВОСІ
ФЛУКТУАЦІЙ ТИСКУ БУРОВОГО РОЗЧИНУ В ПРОЦЕСІ БУРІННЯ НАФТОВИХ І ГАЗОВИХ
СВЕРДЛОВИН
Аналіз статистичних властивостей
флуктуацій тиску бурового розчину в процесі буріння нафтових і газових
свердловин є актуальною науково-практичною задачею у зв’язку з інтенсивним
впровадженням в даний час оптимальних технологічних програм буріння та
гідравлічних програм буріння для впроваджень доліт нового покоління в тому
числі для доліт типу РДС. Раціональна гідравлічна програма для доліт РДС сприяє
підвищенню механічної швидкості проходки і стійкості долота на вибої не менше
ніж на 50%[1].
Проте, аналіз
літературних джерел [наприклад, 1,2,3,4,7,11 та ін.] свідчить, що
питання розробки і впровадження гідравлічних програм для буріння сучасними
долотами недостатньо дослідженні. Це викликано тим, що процес буріння є
складною динамічною системою з нечітко відомими математичними моделями, що
функціонує за умов апріорі невідомих збурень щодо параметрів і структури
об’єкта. Ідентифікація параметрів об’єкта ускладнюється невимірюваністю
багатьох параметрів і показників процесу безпосередньо на вибої свердловини.
Одним із вимірюваних параметрів є тиск бурового розчину, що подається в
свердловину. На стадії дослідження об’єкта керування і експлуатації
автоматизованої системи керування режимами буріння необхідні оцінки
статистичних характеристик різних параметрів в задачах контролю для вибору тестових сигналів, планування
експериментів, оцінки точності характеристик об’єкта керування, для вибору
кроку дискретизації, діагностики стану обладнання та ін. В задачах
автоматизованого керування вони потрібні також для вибору схем і аналізу якості
регулювання, розрахунку параметрів налаштування регуляторів, синтезу
оптимальних алгоритмів та ін.
Тому метою
даної роботи є аналіз статистичних характеристик флуктуацій тиску бурового
розчину в процесі буріння нафтових і газових свердловин.
Експериментальні
дані для аналізу статистичних властивостей флуктуацій тиску бурового розчину
були отримані на свердловині №15 «Делятин». Буріння здійснювалося роторним
способом долотом типу 1АU269,9 СТГ на глибині
3198-3206 м з осьовою силою на долото F=220кН,
швидкістю обертання долота n=1,33
, витратою бурового
розчину
м³/с [7].
Вихідні дані у
вигляді дискретних значень через інтервал часу 1,5с були відтворені як графік
залежності K(t) в програмному
середовищі MATLAB[9] (рис.1).

Рисунок 1 – Відтворений графік флуктуацій тиску
бурового розчину K(t).
Визначаємо математичне сподівання, дисперсію, квадратичне
відхилення за допомогою програми Mathcad [10]:
|
Характеристика
вибірки даних
|
|
Вектор
спостережень |
|
|
|
|
|
|
|
середнє
геометричне |
|
|
|
|
|
середнє
гармонічне |
|
|
|
|
|
дисперсія
|
|
зміщена
оцінка |
|
|
|
|
|
незміщена
оцінка |
|
|
|
|
|
cереднє
арифметичне |
середнє квадратичне
відхилення
|
зміщена оцінка |
|
незміщена оцінка |
![]()
![]()
|
медіана
|
|
|
|
мода
|
|
|
|
Ексцесс
|
|
|
|
асиметрія
|
|
|
Визначаємо
закон розподілу та перевіряємо його за допомогою критерію Пірсона. Для цього поділимо нашу вибірку значень х на
інтервали та визначимо їх частоти.
Об’єм вибірки складає: n=231. Впорядкуємо досліджувану вибірку у порядку
зростання та поділяємо її
на групи. В результаті розрахунків отримаємо наступні значення, що відображені
в таблиці 1.
Таблиця 1
Результати
групування вибірки даних
|
Номер інтервалу |
Середина інтервалу |
Частоти |
|
1 |
17.8 |
1 |
|
2 |
17.9 |
2 |
|
3 |
18 |
7 |
|
4 |
18.15 |
14 |
|
5 |
18.25 |
22 |
|
6 |
18.3 |
30 |
|
7 |
18.4 |
34 |
|
8 |
18.5 |
42 |
|
9 |
18.75 |
33 |
|
10 |
18.8 |
19 |
|
11 |
18.9 |
11 |
|
12 |
19 |
8 |
|
13 |
19.1 |
6 |
|
14 |
19.25 |
3 |
|
15 |
19.5 |
1 |
За отриманими даними побудуємо полігон в
програмному середовищі MATLAB[9]. Він приведений
на рисунку 2.

Рисунок
2 – Полігон для визначення закону розподілу по
даній вибірці
В середовищі MATLAB[9] побудуємо
інтегральну функцію розподілу. Вона показана на рисунку 3.


Рисунок 3 –
Інтегральна функція розподілу
Для визначення закону розподілу
скористаємося програмним середовищем Curve Expert[12]. В результаті отримаємо
наступні варіанти, що зображені на рисунку 4:


а)
б)
Рисунок 4 –
Визначення закону розподілу
У даному випадку найдоцільнішим є
нормальний (Гауса) закон розподілу(рис.4а). Перевірки даної гіпотези за
критерієм Пірсона та програмного середовища Mathcad[10] підтвердила
справедливість цієї гіпотези. Визначаємо автокореляційну функції RКК(τ)(графік
і рівняння).
Для визначення автокореляційної функції RКК(τ)
скористаємося програмним середовищем (Partial) Autocorrelation Function - Free
Statistics Software (Calculator) (рис.5).


Рисунок
5 – Графік автокореляційної функції
Для визначення рівняння автокореляційної
функції скористаємося програмним середовищем Curve Expert. Виходячи з отриманих
результатів найкраще графік описує експоненціально-косинусне рівняння, оскільки
S – найменше значення, а r – найбільше.
(рис.6):


Рисунок 6 –
Графік автокореляційної функції для визначення рівняння
Визначаємо
спектральну густину досліджуваного процесу і будуємо графік.
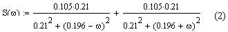
Даній кореляційній функції відповідає спектральна густина:
(1)
Спектральна густина є додатною функцією у
всьому діапазоні частот від 0 до ¥. Вона не
містить відомостей про фази окремих гармонійних складових. За допомогою
приведеної формули можна визначити спектральну густину по заданій аналітично
автокореляційній функції Rкк(t)[5,6].
Визначимо спектральну густину, використовуючи пакет Mathcad.
Попередньо ми визначили автокореляційну функцію Rкк(t) і застосувавши
перетворення отримали:
![]()
|
|
Графік
спектральної густини має такий вигляд (рис.7):
![]()
|
|
Рисунок 7- Графік спектральної
густини
Тепер визначаємо АФХ формуючого фільтру
Спектральна густина (2) також може бути розкладена на два
множники:
(3)
Отже, частотна передавальна функція фільтра,
формуючого сигнал з прихованою періодичністю визначається:
(4)
Для
нашого випадку частотна функція матиме вигляд:
(5)
Для
побудови АФХ формуючого фільтра скористаємося програмним середовищем MATLAB
(рис.8).


Рисунок 9 –АФХ
формуючого фільтру
Висновки
Проведений аналіз
статистичних властивостей флуктуацій тиску бурового розчину в технологічному
процесі буріння нафтових і газових свердловин довів, що цей процес є
стаціонарним ергодичним випадковим процесом з нормальним законом розподілу та
експоненціально-косинусною автокореляційною функцією. Це дозволило визначити
спектральну густину сигналу і амплітудно-фазову функцію формуючого фільтру.
Отримані результати дають змогу обґрунтовано визначати в задачі автоматичного
контролю тиску бурового розчину крок дискретизації цього параметру, а
також структуру давача для системи
автоматизованого керування режимами буріння.
Література:
1.
Абдуялин Р.А.
Пути повышения скорости бурения за рубежом / Р.А. Абдуялин, А.А. Шашин, Н.Н.
Трубецкой . - М.: ВНИИОЭНТ, 1987. – 42с.
2.
Закиров
Н.Н. Влияния технологических параметров бурения скважин на механическую
скорость и проходку на долото / Н.Н. Закиров // Бурение и нефть – 2003. - №6. –
С.16-18.
3.
Фадеєва О.В.
Удосконалення математичної моделі технологічного процесу буріння нафтових і
газових свердловин / О.В. Фадеєва // Вісник Хмельницького національного
університету. Технічні науки. – 2008. - №6(123). – С.55-60.
4.
Гутак О.В. Аналіз
зв’язків показників ефективності процесу буріння на засадах системного підходу
/ О.В. Гутек, Г.Н. Семенцов // Нафтогазова енергетика – 2009.- №2(11).-
С.94-99.
5.
Семенцов Г.Н.
Теорія автоматичного керування: [навч.посібн.] / Г.Н.Семенцов. – Івано-Франківськ:
Факел. – 1999. –611с.
6.
Лукас В.А.
Теорія автоматического управления: [навч.посібн.] / В.А.Лукас – М.: Недра. –
1990. – 416с.
7.
Семенцов
Г.Н. Автоматизація процесу буріння свердловин / Г.Н.Семенцов. –
Івано-Франківськ: Факел. – 1999. – 200с.
8.
Семенцов
Г.Н. Основи автоматизації виробничих процесів в бурінні:[навч/посібник]
/Г.Н.Семенцов, Я.Р.Когуч, М.М.Дранчук,та ін.. – Івано-Франківськ: Факел. –
2004. – 269 с.
9.
Мироновский
Л.А. Введение в MATLAB: [навч/ посібник] / Л.А.Мироновский,
К.Ю.Петрова. – СПб: ГУАП, -2006. - 164 с.
10.
Васильєва
О.А. Чисельні методи розв’язку задач у MathCad:
[навч/посібник] / О.А.Васильєва, О.А.Гончаров, В.А.Коновалов, Н.А.Соловйова. -
Краматорськ:ДДМА,- 2006.-108с.
11.
Ред.
В. С. Білецький Гірничий енциклопедичний словник: 3 т. /— Донецьк:
Східний видавничий дім. - 2001—2004.
12.
Програмні
продукти Curve Expert, Free Statistics. – Режим доступу:http://en.freestatistics.info/stat.php