Mathematics / 5. Mathematical design
The candidate of the physicist - mathematical sciences
Kalzhanov M. U.
Kostanai State Pedagogical Institute
The definition of simulation
experiments
The main
advantage of the simulation model from the analytical is due to its details can be made close to the
object being modeled [1]. Although the approach is associated with the
increasing complexity and more time developing a simulation model. As a result,
there may be situations where the simulation model development time is
comparable with the development of the system itself and, as a consequence,
reduces the relevance derived from the simulation results. At the development
of simulation models is necessary and important a creation of basic software
modules which describe typical situations arising in simulation modeling. The
process of drafting aggregation models
on the basis of the available modules accelerates the process of simulation
modeling of the investigated system.
The volume of
modeling is determined by the nature of the investigated variables (random
events, values or processes), the required accuracy, and the
specific conditions of the simulation.
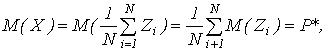
We define the
required number of experiments in assessing the likelihood of an event, which
is the estimate of the frequency of P * = L / N, where L - the number of
successful experiments in the simulation, N - total number of tests. The
frequency of P * is a random variable, as it will take on different values
in repeating series of experiments, N. According to the limit
theorem of probability theory, random variable P * is distributed approximately
normal distribution.
We define a
discrete random variable Z with the law of the distribution P (Z = 1) = P *, P
(Z = 0) = 1 - P *.
The expectation
and variance of Z are
M = 1 • P * + (1
- P *) • D = P *,
D = P * (1 - P *)
2 + (1 - P *) • (0 - P *) 2 - P * (1 - P *).
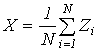
Then, the
expectation and variance of
, (1)


(2)
Let's find number
of tests, at which the meaning Õ differs from probability P* less, than on the given size
with the given reliability.
For the
normalized size Õ
(3)
In view of the
normal law of distribution of size
the
expression (3) will look like
(4)
where β=
(1-α) /2 — significance
value;
Uβ — quintile, corresponding to the value![]()
Meanings β and Uβ are tabulated. For example, at β = 0,61,
Uβ = 1,28 , β = 0,025 , Uβ = 1,96 etc.
From (4) we shall
receive
(5)
At modeling the
size P* is usually unknown. Therefore modeling of volume N = 50 –
100 samples in the beginning is spent, on which is defined P*, and
then from (5) finally is N.
In tab. 1 the
necessary number of realization for reception of an estimation L/ N with
accuracy is resulted ε and reliability a = 0,95 for various meanings P*.
The table 1
|
Ð* |
ε |
|||
|
0,05 |
0,02 |
0,01 |
||
|
0.2 |
0.8 |
250 |
1500 |
6200 |
|
0,3 |
0,7 |
330 |
2100 |
8400 |
|
0,4 |
0.6 |
380 |
2300 |
9400 |
|
0,5 |
|
390 |
2400 |
9800 |
The meanings,
given in tab. 1, the values of the required volume of simulation
experiments themselves even simple estimates indicate the need for a large
number of implementation on a computer.
For specific
cases, modeling is necessary to make such an assessment and determine the
accuracy of calculations, depending on the traded volume modeling.
References:
1. Buslenko N.P simulation of complex systems. - Moscow: Nauka, 1978.
2. Lukyanov V.S Meeting the challenges in engineering simulation
methods: Studies. benefit VolgPI. -
Volgograd, 1989.