Жубаназаров
Д.М.
Магистрант,
Евразийский национальный университет им. Л.Н.Гумилева Казахстан
Имитационное и математическое моделирование микроконтроллерных сетей передачи
данных
Общую
схему модели, имеющую четыре основных уровня, микроконтроллерных сетей передачи
данных (МСПД) можно представить, как показано на рисунке 1. На первом уровне
находятся аналитические модели, отображающие процессы взаимодействия между
элементами в простейших цепях, таких, как, например, регистр, дешифратор,
триггер, сумматор и т.д. Эти модели могут быть представлены в виде
аналитических соотношений, связывающих параметры элементов с конечными
статическими и динамическими характеристиками цепей. Значительную пользу здесь
могут оказать такие средства отображения, как уравнения регрессионного анализа,
рассмотренные далее более подробно.

Рисунок 1 – Общая схема модели МСДП
На
втором уровне находятся Аналитические модели, отображающие работу станций,
например, тракты контроля состояния моноканала, полного метода CSMA/CD и т.д. На входах этих моделей
действуют показатели в виде вектора φ1 = f(NЦ)
определенные с помощью аналитических моделей на первом уровне, т.е. с помощью
микромоделей цепей, образующих соответствующий тракт станции.
На
третьем уровне содержатся аналитические модели с элементами имитационных
моделей. Эти модели отображают более сложные процессы взаимодействия между
трактами, образующими станцию. Поэтому на входах моделей действуют показатели
вектора φ2= f(NТ) определенные при моделировании на макроуровне
соответствующих трактов станции. Поскольку объект моделирования здесь очень
сложный, то описать процессы в нем с заданной точностью и с применением аналитических
способов не представляется возможным. Значительная часть факторов на этом
уровне носит случайный характер, а решения принимаются на основе эвристических
рассуждений.
На
четвертом уровне содержится основная имитационная модель объекта: МСПД или JIBCв целом. Такая модель
отображает наиболее сложные процессы, происходящие в МСПД и JIBCмежду станциями. Большинство
факторов, влияющих на показатели МСПД, носят случайный характер. Поэтому
имитационная модель позволяет избежать дополнительных трудностей, связанных с
точным представлением входных и выходных показателей в виде векторов. В
качестве временных параметров обслуживания на четвертом уровне используется
входной вектор φ3= f(NС). Для параметров, определенных с помощью моделей
станций на третьем уровне.
Целевая
функция имитационной модели МСПД определена как (1)
Qс.мин= f(TП,NО, L, NН). (1)
Функция
(1) достаточно полно отображает необходимые качественные характеристики МСПД и
в то же время хорошо формализуется. Варьируемыми параметрами модели являются
число станций, расстояние между станциями, длина кадра, конфигурация сети,
дисциплина обслуживания кадров в блоках доступа, интенсивность работы каждой
станции, связанной с абонентской ЭВМ.
За
один прогон модели пользователь может исследовать поведение целевой функции при
варьировании только одним параметром. В результате моделирования МСПД можно
получить следующие зависимости целевой функции:
-
от числа станций,
-
от расстояния между
станциями,
-
от длины кадра,
-
от типа применяемой
среды передачи сигналов,
-
от дисциплины
обслуживания МСПД в блоках доступа и
-
от интенсивности
поступления заявок-кадров в моноканал из i-й станции МСПД.
Получив
данные зависимости и аппроксимирование методом Лагранжа
целевую функцию, пользователь получает возможность математическим путем
исследовать возможные экстремальные ситуации и определить оптимальные режимы
работы МСПД, не прибегая к дорогостоящему экспериментированию на реальных
образцах.
Рассмотрим
основные этапы построения имитационной модели МСПД. Структуру МСПД, которую
можно рассматривать как набор преобразователей со связями, образующими
некоторый контур, и буферных запоминающих устройств конечной и бесконечной
емкости. В такой структуре МСПД нас интересуют параметрыTП, NО, NН, L1, C1 и C2.
Наиболее
приемлемым с точки зрения численных расчетов и адекватным математическим
аппаратом, изучающим эти системы, может быть теория массового обслуживания
(ТМО). Сама же структура МСПД рассматривается как система массового обслуживания
(СМО).
Проанализировав
представленные ранее функциональные модели станций и трактов станций, можно
заметить, что функционирование этих моделей во всех подробностях становится
сложным даже с использованием методов имитационного моделирования и специализированных
языков моделирования типа GPSS. Поэтому необходимо упрощение модели.
В
процессе перехода от функциональной к имитационной модели можно выделить два
этапа: представление функциональной модели в виде совокупности преобразователей
и буферов; переход к имитационной модели, рассматриваемой как система массового
обслуживания. Внутренняя структура каждого преобразователя определяется
моделями аналитического типа (возможны имитационные элементы) на нижних уровнях
общей модели (рисунок 1). Имитационная модель фактически производит сборку всех
остальных моделей на нижних уровнях в единую модель МСПД, в нее же вводятся
временные параметры, отображающие время обслуживания заявок в каждом узле
модели массового обслуживания.
С
точки зрения выполнения действий преобразователи делятся на основные и
вспомогательные. К основным относят те, временные характеристики которых
существенно влияют на временные характеристики процесса вычислений. В модели
СМО они выполняют функцию обслуживания. Время действия вспомогательных
преобразователей можно принять равным нулю, а их влияние на модель может быть
оказано лишь через соответствующую дисциплину обслуживания в блоке доступа.
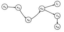
В
качестве примера рассмотрим простейшую имитационную модель МСПД, показанную на
рисунке 2.

Рисунок 2 – Имитационная модель МСПД
Преобразователь,
из которого кадры-заявки выходят в моноканал, функционирует следующим образом:
заявка с интенсивностью λi –
простейшим потоком поступает во входной буфер Нni с бесконечной емкостью. Интенсивности поступления
заявок для обслуживания в МСПД задаются пользователем исходя из логической
структуры блоков доступа к моноканалу и типа абонентского средства,
подключенного к станции. В анализаторе А1i определяется длина кадра, поступающего в МСПД. Если в
МСПД поступает не один кадр, а их последовательность, то условно принимаем
длину каждого кадра в последовательности в nраз большей. Время работы анализатора А1iравно 0, так как в реальной схеме он
отсутствует, а введен для повышения достоверности моделирования.
Далее заявка поступает в выходной буфер H2i, который работает по принципу «первый пришел - первый обслуживается». Емкость
выходного буфера n2i является варьируемым параметром и на первом этапе
может быть не определена. Если буферH2i переполнен, то емкость его увеличивается в модели
автоматически, о чем фиксируется в подпрограмме сбора статистики о модели.
Здесь можно отрабатывать различные механизмы перераспределения памяти в целях
повышения эффективности ее использования. На этапе исследования целевой функции
Qcна экстремум определяется оптимальная емкость буфера H2i. Время записи в буферH2i принимается равным времени упаковки информации в
кадр.
Через
каждую единицу модельного времени заявка из буфера пытается войти в анализатор A2i,
который выполняет функции элемента управления доступом. Далее заявка поступает
в обрабатывающий узел П1i, который имитирует задержку распространения кадра по
моноканалу. Задержка определяется типом приемопередатчика, кодера-декодера,
кабеля, длиной кадраLи конфигурацией МСПД.
Как
только заявка отработана в преобразователе П1i, она поступает в буфер бесконечной емкости, где
заканчивается обработкой заявки в моноканале МСПД. Если за время передачи
заявки конфликты отсутствовали, то она считается принятой верно (искажение
сигналов из-за помех, нарушения синхронизации или отказа аппаратуры не
учитывается). Если в МСПД произошел конфликт, связанный с наложением сигналов,
то анализатор A1i инициирует работу счетчика конфликтов Сi, заявка считается не переданной и возвращается в
буфер Н2i.
Таким
образом, в общей модели предусмотрено последовательное определение параметров
снизу-вверх от элемента до МСПД в целом с учетом того вклада в характеристики
модели верхнего уровня, который создает своими параметрами модель нижнего
уровня.
Приведенный
пример характеризуют особенности имитационного моделирования схем доступа в
МСПД, использующих дисциплину обслуживания по методу конкуренции или
состязания. Для маркерных схем применимы те же самые имитационные модели, но с
описанием других функций анализаторов A'i, А''i.
Сущность самих моделей от этого не изменяется.