Êåéá³ð àëãåáðàëûқ
åñåïòåðä³ң ãåîìåòðèÿëûқ èíòåðïðåòàöèÿñû
Қàðàáàåâ
À.Ñ., ìàòåìàòèêà ïәí³í³ң ìұғàë³ì³
Äàðûíäû
áàëàëàðғà àðíàëғàí «Äàðûí» ìåêòåï-èíòåðíàòû
Àíäàòïà. Áұë ìàқàëàäà
àáñòðàêòû ұғûìäàð ìåí êåéá³ð àëãåáðàëûê åñåïòåðä³ ñàíäûқ
ìîäåëüäåó æîëûìåí ãåîìåòðèÿëûқ èíòåðïðåòàöèÿ àðқûëû øûғàðó òәñ³ë³
қàðàñòûðûëûï, çåðòòåëãåí. Қàç³ðã³
êåçåңäå ìàòåìàòèêàëûқ ìîäåëüäåó ïðàêòèêàëûқ, қîëäàíáàëû
ғûëûì ñàëàñûíäà ìàңûçäû ðîëü àòêàðàòûíäûғû áåëã³ë³. Àâòîð îñû
æұìûñòà ñàíäûқ ìîäåëüäåðä³ң «á³ðë³ê øàðøûëàð ìåí á³ðë³ê òåêøåëåð»
æèûíû áîëûï òàáûëàòûí òүðëåð³í ұñûíғàí. Ñîëàð àðқûëû
êåéá³ð àëãåáðàëûқ åñåïòåðãå ãåîìåòðèÿëûқ ìàçìұí, ìàғûíà
áåð³ï, ãåîìåòðèÿäàғû «àóäàí, êөëåì» ұғûìäàðû
àðқûëû åê³íø³, үø³íø³ äәðåæåë³ê
òåңäåóëåðä³ øåøóäå, ñàí ò³çáåã³ ìүøåëåð³í³ң қîñûíäûñûí
òàáóäà өç³íä³ê åðåêøåë³êòåð³ áàð òәñ³ë ұñûíà á³ëãåí. Áұë òәñ³ëä³ң îíäûқ
ñàíàқ æүéåñ³íäåã³ ñàííûң ïîçèöèÿëûқ
құðûëûìûìåí үíäåñò³êòå áåð³ëó³ íàçàð àóäàðóғà
òұðàðëûқ.
Abstract . On given work some abstract conceptions and some
algebraic sums are looked over and researched by geometric interpretation and
numerical modeling. Nowadays it is known that mathematical modeling plays great
role in practices and usage science. Author offers "square and cubic
metres" of numerical modeling. With the help of this geometric content is
given to some algebraic sums, and the nations such as "area", and
"capacity" are used to summarize second and third degreed equation,
and to sum up terms of progression. Numeric positional struction of demical
numeration is worthy to pay attention.
Ғûëûì ìåí òåõíèêàíûң, êұðûëûñòûң äàìó áàðûñûíäà, ôèçèêàëûқ ìîäåëüäåóäåí ãөð³ ìàòåìàòèêàëûқ ìîäåëüäåóä³ң ìàңûçû åðåêøå åêåíä³ã³ áåëã³ë³. Îë ғûëûì ìåí òåõíèêàíû, құðûëûñòû äàìûòóғà êåòåò³í êàðàæàòòû ìåéë³íøå үíåìäåóãå æәíå äå қàðàñòûðûï îòûðғàí îáúåêò³í³ áàñқà áåéìәë³ì қûðëàðû áîéûíøà òàíóғà ìîë ìүìê³íä³ê áåðåä³.
Áұë ìàқàëàäà êåéá³ð
àëãåáðàëûқ åñåïòåðä³ң á³çãå áåéìәë³ì қûðëàðûí
àøóғà ìүìê³íä³ê áåðåò³í ìàòåìàòèêàëûқ ìîäåëüäåóä³ң á³ð
òүð³ ðåò³íäå "á³ðë³ê øàðøûëàð, á³ðë³ê òåêøåëåð æèûíû" äåï
àòàëàòûí ñàíäûқ ìîäåëüäåðä³ ұñûíûï îòûðìûí.
Áàñòàóûø ñûíûïòàðäà ñàíäû îқûòó
ìåí ñàíàóғà үéðåòóäå áұðûííàí êîëäàíûëûï êåëãåí ñàíäûқ
ìîäåëüäåð (òàÿқøàëàð, äөңãåëåêøåëåð æәíå ò.á.)
îíäûқ ñàíàê æүéåñ³íäåã³ ñàííûң ïîçèöèÿëûқ
қүðûëûìûí өðíåêòåóãå қîëàéñûç áîëғàíäûғû
áåëã³ë³; çàòòàð ìåí ñàíäàð æèûíû àðàñûíäàғû өçàðà - á³ð ìәíä³
ñәéêåñò³êò³ àíûқòàóäûң àëғàøқû қàäàìäàðûíäà
îқóøûëàð үíåì³ қàòåëåñåò³í "Ïèàæå ýôôåêò³ñ³í"
æîþғà қàóқàðñûç åä³.
Àë, æîғàðғû ñûíûïòàðäà
åê³íø³, үø³íø³ äәðåæåë³ êөïìүøåë³êòåðä³ң,
òåңäåóëåðä³ң òүá³ðëåð³í òàáó òәñ³ëäåð³í³ң
ñàí-àëóàí åêåíä³ã³í á³ëåì³ç. Êөïìүøåë³êòåðä³, òåңäåóëåðä³
ïîçèöèÿëûқ құðûëûìғà ñәéêåñ ñàíäûқ
ìîäåëüäåó, îñû òәñ³ëäåðä³ң қàòàðûí æàңà á³ð,
өç³íä³ê àðòûқøûëûғû áàð әä³ñïåí òîëûқòûðóғà
ìүìê³íä³ê áåðåä³. Êåéá³ð àëãåáðàëûқ åñåïòåðä³ң
ãåîìåòðèÿëûқ èíòåðïðåòàöèÿñû (òүñ³íä³ð³ëó³), îë åñåïòåðä³ң
æàңà ìàғûíàñûí àøóғà, îë ìàғûíàëàðäûң
ãåîìåòðèÿëûқ ұғûìäàðìåí (ìûñàëû, àóäàí, êөëåì ұғûìäàðû)
áàéëàíûñòû øåøóãå ìүìê³íä³ê áåðåä³. Àëãåáðàëûê åñåïòåðä³ң
өì³ðë³ê құáûëûñòàðìåí áàéëàíûñû êүøåéò³ëåä³.
Ñàíàóäû үéðåíóäåí áүðûí, ñàííûң àòàóûí á³ëãåí äұðûñ. Ñîíäûқòàí äà ñàíàóғà îқûòó, áàëàëàðäûң åñòå ñàқòàóû ìåí ñàíäàðäûң àòûí äұðûñ қàéòàëàóäû îқûï-үéðåíó³íåí áàñòàëàäû. Áұë әñòå äå îңàé åìåñ. Êөá³íåñå áàëàëàð îíғà äåé³í ñàíàó áàðûñûíäà: «á³ð, åê³, үø, áåñ, ñåã³ç...» äåï á³ðíåøå ñàíäàðäàí ñåê³ð³ï êåò³ï îòûðàäû. Áұғàí òàң қàëóғà äà áîëìàéäû, өéòêåí³ ñàíàó - îë çàòòàðäûң қàíäàéäà á³ð æèûíûíûң ýëåìåíòòåð³ ìåí ñàí àòàóëàðû қàòàðû àðàñûíäà өçàðà - á³ð ìәíä³ ñәéêåñò³êò³ òàғàéûíäàó áîëûï òàáûëàäû, ñîíûìåí қàòàð îë æèûí øàìàñû ñàíàó êåç³íäå àòàëàòûí ñàí åñ³ììåí åң ñîңûíäà áåëã³ëåíåò³íä³ã³í òүñ³íó. Ìұíäà «ñàí» ұғûìûí өçàðà á³ð ìәíä³ ñәéêåñò³ê îðíàòûëғàí æèûíäàð êëàñûíûң қàñèåò³ ðåò³íäå òүñ³íó êåðåê.
|
1- ñóðåò. |
Áàëàëàðғà àáñòðàêòû ñàíäàð æèûíû
ìåí íàқòû çàòòàð æèûíû àðàñûíäàғû өçàðà á³ð ìәíä³
ñәéêåñò³êò³ òүñ³íóäåã³ áұë åңáåêò³ êөï
қàæåò åòåò³í (êөï åңáåêòåңóä³ êåðåê åòåò³í) ýòàïòû
өòóãå (èãåðóãå) êөìåêòåñó үø³í àðàëûқ êөìåêø³
құðàë åíã³çåì³í: êâàäðàò (øàðøû), òàқòàëàð (ïëèòêàëàð) æèûíû
- òåê á³ð ғàíà қàñèåò³ áàð - îë îíûң ìөëøåð³. Áұë
øàðøûëàð áàëàëàðғà ñàíàóäû îқûòóäà - á³ð³íø³ ìàңûçäû
қàäàìäû æàñàóғà - çàòòàð, øàðøûëàð, ñàí åñ³ì æәíå öèôðëàð
àðàñûíäàғû өçàðà àëìàñóäû òүñ³íóãå êөìåêòåñåä³.(
1-ñóðåò)
|
à) á) 2 -
ñóðåò. |
Øàðøûëàðäûң áàñқà
ñàíäûқ ìîäåëüäåðäåí (äөңãåëåêøåëåð, òàÿқøàëàð, ò.á.)
åðåêøåë³ã³ êåì³íäå åê³
àðòûқøûëûғû áîëóûíäà:
1.îëàðäû äàéûíäàó îңàé (ìûñàëû êàðòîí íåìåñå қàòòû қàғàçäàí);
2.îëàðäû á³ð æîëàққà
á³ð³êò³ðó àðқûëû á³ðë³êòåðä³, îíäûқòàðäû, æүçä³êòåðä³ æîáàëàó
қîëàéëû;
Øàðøûëàðäûң îñû
àðòûқøûëûқòàðû îíäûқ ñàíàқ æүéåñ³íäå ñàííûң
ïîçèöèÿëûқ (îðíàëàñқàí æåð³) құðûëûìûí өðíåêòåóãå
àíàғұðëûì äәë êåëåä³ (2-ñóðåò, à).
Ñîíûìåí қàòàð øàðøûëàð êөìåã³ìåí îíäûқ
áөëøåêòåð ìåí æàé áөëøåêòåðä³ äå îңàé
îқûï-үéðåíóãå áîëàäû. (2-ñóðåò, á).
Åê³íø³ äәðåæåë³
òåңäåóëåðä³ øàðøûëàð êөìåã³ìåí øåøóä³ қàðàñòûðàéûқ. Îë
үø³í àëäûí-àëà òөìåíäåã³ áåëã³ëåóëåðä³ åíã³ç³ï àëàìûç ( 3-ñóðåò):
|
õ2 õ áîñ ìүøå 3-ñóðåò |
1. үëêåí øàðøû (æүçä³ê øàðøû) « õ2»
-åê³íø³ äәðåæåë³
êөïìүøåë³êò³ң á³ð³íø³ ìүøåñ³;
2. æîëàқ áàғàíà (îíäûê)
« õ » - åê³íø³ äәðåæåë³ êөïìүøåë³êò³ң åê³íø³
ìүøåñ³;
3.«á³ðë³ê øàðøû»- åê³íø³ äәðåæåë³
êөïìүøåë³êò³ң áîñ ìүøåñ³í áåéíåëåéä³
Ñîíäà åê³íø³ äәðåæåë³
òåңäåóëåðä³ øåøó åñåá³ òåңäåó қүðàìûíäàғû
êөïìүøåë³êêå ñәéêåñ àëûíғàí құðàìà
áөë³êòåðäåí «ò³ê òөðòáұðûø құðàñòûðó» åñåá³íå
àëìàñòûðûëàäû.[1]
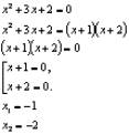
Åíä³ îñû әä³ñòåìåë³ê òәñ³ëä³
õ2+3õ+2=0 êåëò³ð³ëãåí òåңäåó³í øåøó ìûñàëûíäà
òүñ³íä³ðåé³ê. Құðàìà áөë³êòåðäåí ò³ê
òөðòáұðûø құðàñòûðàìûç:
|
4-ñóðåò |
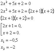
Êåëåñ³ ìûñàë ðåò³íäå 2õ2+5õ+3=0
òîëûқ êâàäðàò òåңäåó³í øåø³ï êөðåé³ê. Òåңäåó
құðàìûíäàғû êөïìүøåë³êêå ñәéêåñ құðàìà
áөë³êòåðäåí ò³ê òөðòáұðûø құðàñòûðàìûç (5-ñóðåò).
5-ñóðåò
Åãåð құðàìà
áөë³êòåðäåí ò³ê òөðòáұðûø құðàñòûðó ìүìê³í
áîëìàñà, îíäà áåð³ëãåí êâàäðàò
òåңäåóä³ң øåø³ì³ áîëìàéäû. Êөç æåòê³çã³ëåð³ң³ç êåëñå: õ2+3õ+3=0
òåңäåó³í øåø³ï êөð³ң³çäåð.
Àë үø³íø³ äәðåæåë³
òåңäåóëåðä³ øåøóãå æîғàðûäà êөðñåò³ëãåí ôèãóðàëàðäû
ïàéäàëàíàð áîëñàқ, àëäûí-àëà өçãåð³ñòåð åíã³ç³ï, áåëã³ëåï àëóûìûç
қàæåò:
1. Æîғàðûäà êөðñåò³ëãåí
ôèãóðàëàðäû êåң³ñò³êò³ê ôèãóðàëàðғà äåé³í òîëûқòûðàìûç (6-ñóðåò);
Á³ðë³ê êóá
![]()
à
á â ã
6 ñóðåò.
Êåң³ñò³ê ôèãóðàëàðû
«õ3» - үø³íø³ äәðåæåë³
êөïìүøåë³êò³ң á³ð³íø³ ìүøåñ³ áåéíåëåéä³
«õ2» - үø³íø³
äәðåæåë³ êөïìүøåë³êò³ң åê³íø³ ìүøåñ³í áåéíåëåéä³.
«õ» - үø³íø³ äәðåæåë³
êөïìүøåë³êò³ң үø³íø³ ìүøåñ³í áåéíåëåéä³.
«á³ðë³ê êóá» — үø³íø³
äәðåæåë³ êөïìүøåë³êò³ң áîñ ìүøåñ³í áåéíåëåéä³.
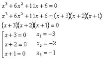
Åíä³ áұë әä³ñò³ õ3+6õ2+11õ+6=0
êåëò³ð³ëãåí үø³íø³ äәðåæåë³ òåңäåóä³ øåøó ìûñàëûíäà
қàðàñòûðàìûç ( 7- ñóðåò):

7-ñóðåò
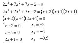
Æәíå äå 2õ3 +7õ2+7õ+2=0 òîëûқ êâàäðàò
òåңäåó³í øåøóãå қîëäàíàìûç (8-ñóðåò).

8-ñóðåò
1+2+3+4+5+... + n қîñûíäûñûí òàáó êåðåê áîëñûí.
Îë үø³í á³ðë³ê øàðøûëàðäàí
òұðàòûí áàғàíäàðäû ïàéäàëàíàìûç. ßғíè «1» ñàíûí – «
» á³ðë³ê øàðøûìåí, «2» ñàíûí
åê³ á³ðë³ê øàðøûäàí òұðàòûí áàғàíìåí, «3» ñàíûí -
үø á³ðë³ê øàðøûäàí òұðàòûí áàғàíìåí, ò.ñ.ñ
àëìàñòûðàìûç[2.3]
Ñîíäà
n-
øàðøû
Áұäàí êåëåñ³ á³ðë³ê øàðøûëàðäàí òұðàòûí òөìåíäåã³ ôèãóðà êåë³ï øûғàäû:
|
|
Åíä³ áåð³ëãåí қîñûíäûíû òàáó үø³í àëûíғàí
ôèãóðàíû ò³ê òөðòáұðûøқà òîëûқòûðàìûç. Ñîíäà îíûң åí³-n, ұçûíäûғû
- n+1, ÿғíè àóäàíû n(n+1)-ãå
òåң áîëàäû.
Ñîíûìåí
á³çä³ң ³çäåï
îòûðғàí қîñûíäûìûç áîëàäû.
ßғíè ![]()
Øàðøû òàқòàéøàëàðäûң êåëåñ³ á³ð қîëäàíûëûìû: 9-ñûíûïòà ò³çáåêòåð òàқûðûáûí өòêåíäå íàòóðàë ñàíäàðäûң, òàқ íàòóðàë ñàíäàðäûң, æұï íàòóðàë ñàíäàðäûң àëғàøқû n ìүøåëåð³í³ң êîñûíäûñûí àíûқòàéòûí ôîðìóëàëàðäû àëóäûң ìàòåìàòèêàëûқ èíäóêöèÿ әä³ñ³íåí áàñқà æîëûí êөðñåòó; қîñûíäûíûң ìàғûíàñûí ìөëøåð (øàìà) òåîðèÿñû áîéûíøà àóäàí ұғûìûìåí áàéëàíûñòûðó.
Áұë áàéëàíûñ
; 1+3+5+7+...+(2n-1)=n2; 2+4+6+8+… +2n=n(n+1) қîñûíäûëàðûí (9-ñóðåò, à á) òàáó áàðûñûíäà
àéøûқòû áåéíåëåíãåí.
Ñîë ñèÿқòû
қîñûíäûñûí åñåïòåó ôîðìóëàñûí,
қîñûíäû ìàғûíàñûí àóäàí-êөëåì ұғûìäàðûìåí
áàéëàíûñòûðó àðқûëû á³ðë³ê òåêøå êөìåã³ìåí ìîäåëüäåó æîëûí
қîëäàíûï, øûғàðûï àëóғà (9-ñóðåò,â) áîëàòûíûí
êөðåñ³çäåð

à á â
9 ñóðåò
Ìåí, өç³ì ұñûíûï
îòûðғàí ñàíäûқ ìîäåëüä³ң áàñòàóûø ñûíûï îқóøûëàðû үø³í ñàíäû
îқûòó ìåí ñàíàóäû үéðåòó áàðûñûíäà êөï қàòåëåñåò³í
"Ïèàæå ýôôåêò³ñ³í" æîþғà, ñàíäàðғà àìàëäàð қîëäàíóäà, êөìåêø³
құðàë áîëàòûíûíà ñåíåì³í. Ìàқàëàäà êåéá³ð àëãåáðàëûқ
åñåïòåðä³ ãåîìåòðèÿëûқ èíòåðïðåòàöèÿëàó
àðқûëû îëàðғà æàңà ìàçìұí, æàңà ìàғûíà
áåðóãå áîëàòûíûí êөðñåòò³ì. Ìîäåëüäåó әä³ñ³í³ң
àðòûқøûëûғûí, қàðàñòûðûï îòûðғàí îáúåêò³ãå қàòûñòû
çåðòòåó òәñ³ëäåð³í өçàðà ãàðìîíèÿëûқ үéëåñ³ì ìåí
òûғûç ñàáàқòàñòûðà қîëäàíғàíäà ғàíà êүòêåí
íәòèæåãå æåòóãå áîëàòûíûí, êөðñåòóãå òûðûñòûì.
Áұë æұìûñòûң èäåÿñû ìåí íәòèæåñ³ îðòà
ìåêòåï ìұғàë³ìäåð³ үø³í ìàңûçäû æәíå
ïðàêòèêàëûқ ³ñ-әðåêåòòåð³íäå êåң қîëäàíûñқû èå
áîëàäû.
Қîëäàíûëғàí
әäåáèåòòåð:
1.
Øûíûáåêîâ À.Í. Àëãåáðà. Æàëïû á³ë³ì áåðåò³í ìåêòåïò³ң 9 ñûíûáûíà
àðíàëғàí îқóëûқ. Àëìàòû «Àòàìұðà», 2005, 2013
2.
Âàëåíêèí ß.Í. Àëãåáðà 9 êëàññ äëÿ óãëóáëåííîãî èçó÷åíèÿ ìàòåìàòèêè
3.
Ê.Ãèíáàÿñè, ïðåçèäåíò À̲, ïðîôåññîð; Í,ßìàçàêè, ÷ëåí À̲, ïðîôåññîð
«Ðàäîñòíûå óðîêè èëè Ïî÷åìó ÿïîíñêèå äåòè ëþáÿò ìàòåìàòèêó»