ОБ УРАВНЕНИЯХ ОТНОСИТЕЛЬНОГО ДВИЖЕНИЯ СИСТЕМ С СЕРВОСВЯЗЯМИ
Тешаев М.Х., Ахмедов М.Ш.,Сайфуллаев С.С.
Бухарский
инженерно-технологический институт
Аннотация. Рассматривается
механическая система, состоящая из переносящего твёрдого тела и N
материальных точек (носимые тела).
Система стеснена обычными идеальными связями и сервосвязями. С учетом
параметрического освобождения системы от сервосвязей получены уравнения движения.
Ключевые
слова. Переносящее тело, носимые
тела, сервосвязь, реакция сервосвязи.
Рассмотрим
механическую систему, состоящую из переносящего
твёрдого тела и N материальных
точек (носимые тела), положение которых
относительно системы координат Oxyz, связанной с переносящим телом, определяется обобщёнными координатами q1, q2 , … , qn .
Положение переносящего тела в инерцианальной системе координат
будем определять шестью обобщёнными координатами : координатами
полюса
и углами Эйлера
, задающими ориентацию подвижной системы координат Оxyz в системе
.
Пусть на движении переносящего тела наложены обычные линейные неголономные идеальные связи
(1)
где
- функции от
обобщённых координат переносящего тела
и t.
На относительное движение носимой системы наложены обычные линейные неголономные идеальные связи
(2)
где
зависят от
обобщённых координат
и t.
Допустим, что система ещё стеснена сервосвязями /1/ вида
(3)
Предполагается, что среди возможных перемещений имеются такие, определяемые уравнениями
(6)
на которых реакции сервосвязей работы не производят /2/. Здесь
.
Известно, что сервосвязи не выполняются точно /2/, т.е. наряду с соотношениями (3) имеют место и соотношения, соответствующие
преобразованию системы с сервосвязями (3) к виду /2/ :
(7)
где
- параметры,
характеризующие освобождение системы от сервосвязей (3). Нулевые значения
параметров
соответствуют связям (3) и их продифференцированным формам.
За эти величины могут быть взяты, например, левые части уравнений (3),
вычисляемые на действительном движении системы /3/.
Обозначив через Np и P
реакции, отнесённые к параметрам
, будем предполагать, что последние вынужденно изменяются
согласно дифференциальным уравнениям /2/
(8)
Определяя работу принуждений на перемещениях
выражением
![]()
для параметрически освобождённой системы будем иметь
(9)
где
- реакции связей второго
рода.
Пусть из способа действия реакций связей второго рода следует, что на (А) – перемещениях (6) работа реакций связей второго рода равна нулю как для неосвобождённой, так и параметрически освобождённой системы. Тогда при произвольных принуждённых реакций работа (9) обратиться в нуль при /1/
.
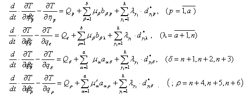
С учётом первой группы уравнений (7) вместо обобщённых координат q1, … , qa введём
параметры
.Тогда из общего уравнения динамики
,
где Т- кинетическая энергия;
- обобщенная сила, отнесенная к координате
,
при условиях (4) – (6) будем иметь:
(10)
где
- множители связей,
.
Уравнения (10) представляют собой дифференциальные уравнения относительного движения с множителями связей. А слагаемые

представляют собой обобщённых реакций связей второго рода (сервосвязей).
Литература
1. Беген, А. Теория гироскопических компасов М.: Наука, 1967.-192 с.
2. Тешаев М.Х. К задаче стабилизации движений механических
систем, стесненных геометрическими и кинематическими сервосвязями. Известия вузов.
Поволжский регион. 2009 .№ 4 (12).- С.
27-38
3. Галиулин А.С. Мухарлямов Р.Г., Мухаметзянов И.А. Фурасов В.Д. Построение систем программного движения. М.: Наука, 1971-352 с.