Ìàòåìàòèêà/5.
Ìàòåìàòè÷åñêîå ìîäåëèðîâàíèå
Baimankulov A.
Kostanay State
University named after A.Baitursynov, Kazakhstan.
Rating the solution of
direct problem
In the area of
we consider
the problem
, (1)
,
(2)
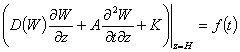
(3)
, (4)
where
. (5)
To determine
moisture is
given on the soil surface
. (6)
We multiply (1) on
and integrate over
all internal points of the domain
then

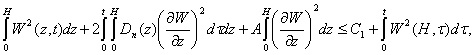
Integrating by parts with respect to variable, giving initial and boundary conditions (2) - (4) we obtain
or
+
+
.
After a series of obvious transformations we have
(6)
where

using the inequality
(7)
from (6) we obtain

After application of the Gronwall lemma we
obtain the estimate

Based on this evaluation of (7) implies:
![]()
Lemma 1. if
then for the solution of (1) - (4) we have the estimates:

![]()
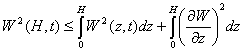
Consequence.
From the obvious equality

implies
the estimate
.
Using
Lemma 1, we deduce the inequality:
.
References
1.Íåðïèí Ñ.Â., Þçåôîâè÷ Ã.È. Î ðàñ÷åòå íåñòàöèîíàðíîãî
äâèæåíèÿ âëàãè â ïî÷âå// Äîêëàäû ÂÀÑÕÍÈË, ¹ 6, 1966.
2.Þçåôîâè÷ Ã.È., ßíãàðáåð Â.À. Èññëåäîâàíèå
íåëèíåéíîãî óðàâíåíèÿ âëàãîïåðåíîñà. // Ë.: Êîëîñ. Ñá. òðóäîâ ïî àãðîôèçèêå,
âûï. ¹ 14, 1967.
3.Áàéìàíêóëîâ À.Ò. Îïðåäåëåíèå êîýôôèöèåíòà
êàïèëëÿðíîé äèôôóçèè.// Ìàòåðèàëè çà VIII ìåæäóíàðîäíà íàó÷íà ïðàêòè÷íà êîíôåðåíöèÿ «Áúäåùåòî
âúïðîñè îò ñâåòà íà íàóêàòà -2012», ò.36, 17-25 äåêåìâðè, 2012, Ñîôèÿ.