Л.О. Фазлутдинова
К проблеме связи цепных дробей и календаря
Лесосибирский педагогический
институт – филиал ФГОАУ ВПО «Сибирский федеральный университет», Лесосибирск,
Россия
Цепные дроби впервые появились
в 16 веке. В зависимости от количества элементов различают конечные и
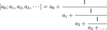
бесконечные цепные дроби. Цепная дробь
(или непрерывная дробь) —
это математическое
выражение вида
![[a_0; a_1, a_2, a_3,\cdots] = a_0+\cfrac{1}{a_1+\cfrac{1}{a_2+\cfrac{1}{a_3+\ldots}}}\;](./3_121453.doc.files/image001.gif)
Например: 
Первый пример представляет собой конечную цепную дробь, а последний
- бесконечную. Для того чтобы цепные дроби не остались лишь красивой
математической конструкцией, важно решать два типа задач: 1) дана цепная дробь,
требуется определить её значение; 2) дано действительное число, требуется
построить соответствующую цепную дробь.
Как определить значение цепной дроби? Если цепная дробь конечна, то задача
сводится лишь к более или менее трудоёмкому вычислению, а результат
представляет собой рациональное число. Совсем другое дело, когда она
бесконечна. Приблизительное значение бесконечной канонической цепной дроби
можно получить, если "превратить" её в конечную, т.е. отбросить
"хвостик". При этом чем больше "этажей" мы оставим, тем
точнее будет результат. Как построить
цепную дробь.
Разложение в каноническую цепную дробь
произвольного действительного числа - это однообразный процесс, который
состоит из двух
многократно повторяющихся и чередующихся друг с другом действий:
"получения достатка" и "обращения остатка".
"День и ночь - сутки прочь", "Зима и лето - года нету":
С незапамятных времён люди подметили, что важнейшие отрезки времени - год
и сутки - определяются различными природными процессами. Однако в
том, что год не измеряется целым числом суток, они разобрались далеко не
сразу. Но ведь если измерять год с целым количеством суток, то постепенно
набегут (или убегут) "лишние" секунды, минуты, часы, которые со
временем составят дни, недели и месяцы. Так оно и произошло.
В 46 г. н.э. Юлий Цезарь поставил перед учеными задачу избавиться от ошибок
в календаре. По предложению александрийского астронома Созигена он ввёл такую
систему: Каждый четвертый год должен быть на 1 сутки больше чем обычный год,
состоящий из 365 суток. Впоследствии длинными или високосными, стали считать
годы, номер которых делится на 4. В честь Юлия Цезаря этот календарь стали
называть юлианским. Но и он был не безупречен - средняя длина юлианского года
больше истинной на 11 минут 14 секунд.
Следующую реформу календаря в
Европе предпринял Папа Римский Григорий 13 в 1582 году, когда расхождение между
истинным и юлианским годом составило 10 дней. Он осуществил проект предложенный
итальянским врачом и математиком Луиджи Лилио. Этот календарь, которым
пользуются сейчас и в России, стали называть григорианским.
В григорианском календаре сохраняется чередование простых и високосных лет,
но оно дополняется правилом: если номер года оканчивается двумя нулями, а число
сотен не делится на 4, то этот год - простой (годы 1700,1800,1900-й - простые, а год 2000 - високосный). По
григорианскому календарю средняя длина года составляет 365 суток 5 часов
49 минут 12 секунд, что на 26 секунд больше истинной. Такая точность вполне
приемлема, ведь ошибка в 1 сутки при данной системе набежит примерно за 3300
лет. Давайте взглянем на проблему
календаря с точки зрения теории цепных дробей. Выразим длину года в сутках и
представим эту величину в виде цепной дроби:

Последовательность подходящих дробей для неё такова:

Какая из этих дробей вам больше нравится? Возьмем 365. В этом случае за 4
года набегает 1 "лишний" день - и мы получаем юлианский
календарь. Возьмём
. Теперь за 33 года набегает 8
"лишних" дней, и это календарь, предложенный в 1079 г. персидским
математиком и поэтом Омаром Хайямом. Он даже точнее григорианского.
А если выбрать подходящую дробь
, то получим соответствующий ей
календарь фантастической точности, по которому средняя длина года на 1 секунду
будет превышать истинную! В1864 году профессор Дерптского университета (ныне
Тартуский) Иоганн Генрих Медлер предложил с 20-го века ввести такой календарь в
России. В нем пришлось бы каждые 128 лет пропускать 1 високосный год, если високосные годы отсчитывать по
принятой тогда юлианской системе. Процедура простая, но то ли в силу обычного
консерватизма, то ли по другим причинам этот календарь распространения не получил.