Государственный Университет имени Шакарима города Семей
Существующие методики расчета клиноременных передач на
долговечность
Статья
посвящена к сравнению методик расчета клиноременных передач на долговечность по
ISO 1081-94 и по ГОСТ
1284.3-80
Ключевые
слова: ремен, долговечность,напряжение
Отличие
существующих расчета по ISO1081-94 и по
ГОСТ1284.3-80 наталкивает на мысль
неизученность долговечности ременных передач и сложность расматриваемых
объектов. В этой связи поставлена цель сравнение двух методов расчета на
долговечность ременной передачи, на основе существующих теории.
Ременная
передача — это передача механической энергии при помощи гибкого элемента
(ремня) за счёт сил трения или сил зацепления (зубчатые ремни). Они относятся к
передачам с гибкой связью.
Ременная
передача (рис. 1) состоит из ведущего 1 и ведомого 2 шкивов и надетого на них
натянутого ремня 3
р
еменной
перед
ача
зацепление
Рис. 1. Схема ременной передачи Рис. 2. Геометрические параметры ременной
передачи
Основные
геометрические соотношения при проектировании ременных передач определяют (рис.
2): угол γмежду ветвями ремня, угол α1охвата ремнем малого шкива, длину ремня L и при использовании бесконечных ремней — межосевое
расстояние - а. Расчетные диаметры шкивов и длины ремней I определяют по
нейтральному слою поперечного сечения ремня.
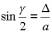
Угол между ветвями ремня
находят из треугольника О1АО2:
, где.![]()
Тогда угол
между ветвями ремня в радианах:
,а шкива в
градусах:![]()
Минимальный
угол охвата
должен быть для плоскоременной передачи —
150°, для клиноременной — 120°.
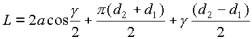
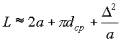
Длина
ремня (без учета его деформации на шкивах) определяется как сумма длин
прямолинейных участков и длин дуг охвата ремнем малого и большого шкивов:
или
.
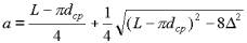
Для
ремней следует уточнить действительноемежосевое расстояниеиз квадратного
уравнения:
.
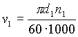
Кинематика
ременных передач. Окружные скорости ( м/с ) на шкивах:
и
,
где d1 и d2 – диаметры ведущего
и ведомого шкивов, мм;
n1 и n2 – частоты вращения
шкивов, мин-1 .
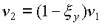
Окружная
скорость на ведомом шкиве v2 меньше скорости на
ведущем v1 вследствие
скольжения:
![]()
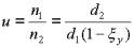
Передаточное отношение:![]()
Обычно
упругое скольжение находится в пределах 0,01…0,02 и растет с увеличением
нагрузки.
Усилие
в ремне. Под деиствием движущего момента T1 в ведущей ветви
передачи натяжение достигнет некоторого значенияF1 вследствие появления момента сопротивления М2,
а усилие в ведомой ветви уменьшится до величиныF2. При этом окружное усилие (полезная нагрузка ремня)
(1)
будет передаваться
по всей дуге обхвата.
На первом
участке АВ— дуге сцепления — за счет нарастающнх
тангенциальных сил сцепления (меньших полных сил трения) передается малая часть
нагрузки, а сдвиговые деформации ремня приводят к небольшому относителыному
снижению его скорости.
В точке В
силы сцепления становятся равными силам трения, происходит срыв, и начинается
скольжение ремня по дуге ВС — дуге скольжения. На этой дуге с
углом αск за счет нарастающих
от точки В к точке С сил трення передается
основная часть окружного усилия и имеет место значительное снижение окружной
скорости.
рис.3 Схема сил, действующие на элемент ремня
Если использовать
модель ремня в виде гибкой нити, то усилие (или напряжение) в ведущей ветви
передачи можно связать с усилием в ведомой ветви соотношением Л. Эйлера.
Условие равновесия (без учета центробежных сил) в радиалыном направлении
элемента нити, огибающей цилиндр (рис. 3),
![]()
и
условие равновесия сил в окружном направлении F —fdN—F—dF =0,
гдеdN =qdS— нормальная сила, действующаяизэлемент ремня от шкива;q— нормальное давление на единницу длины;F — натижение ремня;f — коэффициент
трения.
Из последнего соотношение:fdN = dF,откуда (с учетом
первого условия)dF/F=fdα.
Если скольжение ремня происходит по
всей дуге обхвата (граница буксования), то после интегрирования получим формулу Эйлера
F1/F2=efβ=q (2)
Из этого напряжение в ведомом шкиве:
TOC \o "1-3" \h \z
=
=>
=
=>
=
=>
(
- 1) =
=>
= ![]()
Усилия в
ветвях нагруженной передaчи связаны с усилием
начального натяжения F0 и рабочeй окружной силойFtсоотношениями
(3)
которые
можно получить из условия, что удлинение ведущей ветви ремня равно уко- рочению
ведомой ветви.
Рис.4. Схема сил в сеченииклинового
ремня
Из
соотношеннй (3) следует
F1+F2=2F0
Учитывая, чтоF1 — F2 = Ft и T1=FtD1/2, найдем

Нетрудно доказать :
σ1= 2σ0 еfβ /( еfβ +1)
Коэффициент
трения в клиноременных передачах:
![]()
Снижение скорости отv1 (для ведущей ветви) до v2 (для ведомой ветви) характеризуют относительным скольжением
![]()
Передаточное
число

На практике работу передачи принято оценивать
по кривым скольжения, которые строят в координатах: относительное скольжение
— коэффициент тяги
φ =Ft/(F1 + F2) = Ft/ 2F0 (рис. 5).
Дальнейшее
повышение нагрузки приводит к более интенсивному снижению скорости, что связано
с увеличением дуги скольжения и ростом потерь скороста при набегании ремня на
шкивы. Однако передача устойчиво (без буксования) работает в этой области, хотя
КПД снижается из-за нарастания потерь энергии на трение. Лишь при значении φ = φmaxначиняется
буксозвание передачи.
Оптимальным
считают нагружение, соответствующее наибольшему КПД и некоторому запасу по
сцеплению или перегрузке (φ0 = 0,6 - 0,75 — для клиноременных
передач.

Рис. 6Кривая скольжения и зависимость КПД Рис.5Изменение напряжений в точке ремня
от коэффициента тяги φ в
клине-
ременной передаче за один пробег
Ременных
передач. φ0=0,4-0,5 – для
плосковременных передач), либо нагружение, соответствующее некоторой допустимой
величине относительного скольжение.
Быстроходность
передачи. Если положить,что ремень является
При σц = σ0давление на всей
дуге обхвата будет равно нулю, и передача не
сможет передавать нагрузку.
Окружная скорость на шкиве при этом
v1кр=
,
где
плотность материала ремня. Для ремня из
капрона можно принять напряжение от начального натяжения σ0= 50МПа и v1кр = 150м/с.
С
увеличение быстроходности передачи возрастают потери энергии на трение. Расчеты
показывают (3), что при окружной
скорости на ведущем шкиве.Потери энергии на трение будут наибольшими.
Режимов работы передачи со скоростью v1µ следует избегать
из-за опасности перегрева ремня.
v1µ =![]()
Наивыгоднейшая
скорость ремней обычно составляет 20-25 м/с, а наибольшая допустимая 30-35 м/с.
Узкие клиновые ремни с улучшенным кордом могут работать при скоростях до 40-60
м/с.
Напряжения
в ремнях. При обегании шкива ремнем наибльшие напряжения испытывают
наружные волокна:
σmax =
σt+ σц +
и =
+ + σи,
где q=
; σt, σц,
и – напряжение
соответственно отполезной нагрузкой, центробежных сил и от изгиба ремня,
σц
= γ
;
и = Е
;
здесь
и D – толщина ремня и
диаметр меньшего шкива; Е – приведенный модуль упругости ремня, для
клиновых кордтканевых ремней Е = 250-400МПа, для клиновых кордшнуровых
ремней Е = 500-600МПа.
Наиболее
часто ременные передачи выходят из строя из-за усталосного повреждения ремня.
Экспериментальные исследования показали, что для ремней не удается установить
пределе неограниченной выносливости, а ресурс ремня N (в циклах) связан с аибольшим переменным напряжением
соотношением.
![]()
![]()
здесь ![]()
Если
ввести в расмотрение число пробегов ремня в секунду ν=v/L(v- скорость ремня,
м/с, L-длина ремня,м) то
при постоянном режиме нагружение и u=1
N=3600 νzшT
где zш-число шкивов; Т-
срок службы ремня, ч.
Отсюда
В
пределах сσ0=1,2МПа при u=1 принимают для клиновых кордтканевых m=9-11; C=21 МПа; для клиновых
кордшнуровых m=6-11; C=30MПа
На
долговечность ремней влияют напряжение от предварительного натяжения. Если срок
службы ремня при напряжении в ремне от начального натяжения σ0=1,2
МПа принять за 100%, то при других значениях σ0 и прочих равных
условиях он в среднем составит (по экспериментальным данным):


R2=0.9977
T=-0.0008D3+1.2963D2-351.1D+27070
R2=0.9993
Для
обеспечивания высокой долговечности и работоспособности передач ответственного
назначения целеобразно контролировать σ0 и принемат
автоматические способы натяжения.
Значительное влияние на долговечность
ремня оказывает диаметр меншего шкива, от которого зависят напряжения изгиба в
ремне. Если срок службы клиновых ремней сечения В при работе на шкивах с D=200мм принять за
100%, то при других значениях D и прочих равных условях срок службы по опытным данным
составить:
Вывод:
1. Из этого можно предположить, что у
ремня расчитанной по ISO 1081-94
максимальная напряжения значительно меньше чем ремня расчитанной по ГОСТ
1284.3-80
Литературы:
1.Семеноженков В.
С., Платонов А. А., Мицкевич В. Г. Детали машин и основы конструирования.
Расчёт ремённых передач. Расчёт цепных передач: методические указания к
выполнению курсового проекта.// Издательство: РГОТУПС, 2005. - 63 стр.
2. Светлицкий В, А.,
Передачи с гибкой связью, М., 1967;
3. Пронин Б. А.,
Клиноременные и фрикционные передачи и вариаторы, М., 1960;
4.Детали машин.
Расчет и конструирование, под ред. Н, С. Ачеркана, 3 изд., т. 3, М., 1969;
5. Андреев А. В., Передача
трением, М., 1963.
6. Д.Н. Решетов.,
Детали машин, 1989; 4-издание,дополненное и переработанное;
7. Биргер И.А., Шорр
Б.Ф., Иосилевич Г.Б. Расчет на прочность деталей машин; Справочник. 4-е изд,
перераб. и доп. - М.: Машиностроение, 1993. -640 с.