Физика /1.Теоретическая физика
К.п.н. Мищик С.А.
Государственный морской университет имени
адмирала Ф.Ф.Ушакова ,
Россия
Системность гидравлической прикладной физики
морского флота
Системность гидравлической прикладной
физики морского флота отражается в использовании действий системного анализа. Базисной
характеристикой гидравлических параметров судна являются давление, объём и
температура гидравлических рабочих элементов судовых механизмов.
Общим назначением гидравлической
системы является передача энергии гидравлической жидкости по трубам с помощью
насоса к гидравлическому мотору, который приводит в действие механизм.
Схема классической гидравлической
системы определяется:
1 — гидравлический
бак; 2 — клапан запорный; 3 — фильтр; 4 — насос с электроприводом постоянной
производительности и постоянным направлением потока жидкости; 5 — предохранительный
клапан; 6 — фильтр; 7 — гидрораспределитель с местным ручным управлением рукояткой;
8 — гидродвигатель; 9 — фильтр.
По конструктивному исполнению насос и
гидродвигатель могут быть радиально- и аксиально-поршневые, пластинчатые,
шестеренные и винтовые.
На судах промыслового и морского
флотов гидравлическую систему применяют для привода и управления рулевых машин,
успокоителей качки, ВРШ, для грузовых, буксирных и ваерных лебёдок, брашпилей и
шпилей, механизмов люковых закрытий, аппарелей и гидроподъёмников.
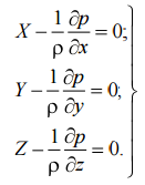
Дифференциальным уравнения равновесия жидкости являются уравнения Л. Эйлера, которые описывают зависимость массовых и поверхностных сил от координат какой-либо точки покоящейся жидкости. В таком виде система уравнений была получена Л. Эйлером в 1775 году,
которое
можно представить в виде
Тогда
можно определить основное уравнение гидростатики
.
Давление в жидкости измеряется либо жидкостными приборами (пьезомет- ром, вакуумметром, дифференциальным манометром), либо механическими манометрами.

Давление жидкости на наклонную поверхность определяется силой гидростатического
давления, действующей на смоченную часть поверхности S плоской стенки
произвольной формы, характеризуется величиной, направлением и точкой
приложения. Интеграл выражает
статический момент площади фигуры АВ относительно оси Х.
Таким
образом, величина абсолютного гидростатического давления равна произведению
площади смоченной части плоской стенки на гидростатическое давление в центре
тяжести. Поэтому центр давления – определяет точку приложения равнодействующей
избыточного гидростатического давления, что важно для определения размеров
щитов, затворов и других сооружений. Для определения координат dy, d h центра
давления гидростатической силы воспользуемся теоремой Вариньона то есть, если
произвольная система сил имеет равнодействующую, то момент этой
равнодействующей относительно любой оси равен алгебраической сумме моментов
всех сил этой системы :
Где МРизб
– момент равнодействующей избыточной силы гидростатического давления
относительно оси Х , а не абсолютного значения Р потому, что координата
приложения силы будет зависеть только от второй составляющей:
.
Давление
жидкости на криволинейную поверхность в отличие от плоской стенки гидростатического
давление в разных точках криволинейной стенки различается не только по величине,
но и по направлению. Поэтому силу гидростатического давления, действующую на
криволинейную стенку, непосредственно определить нельзя: ее находят через составляющие
этого вектора. Рассмотрим криволинейную поверхность АБ, подверженную действию
избыточного гидростатического давления - жидкость справа. Выделим площадку dS
, центр тяжести которой погружен в жидкость на глубину h . На площадку dS
будет действовать элементарная сила избыточного давления dРизб :
.
![]()
Объем
W
, являетсяся суммой элементарных объемов выражается как тело давления. Тело давления – есть объем, ограниченный
криволинейной поверхностью АБ, ее проекцией на уровень
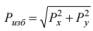
свободной поверхности и вертикальными плоскостями проецирования. Полная сила
гидростатического давления определяется из выражения для , где Рx – горизонтальная составляющая
силы избыточного гидростатиче-
ского давления; Рy – вертикальная составляющая силы избыточного гидростатического
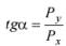
давления. Направление полной силы Pизб определяется углом . Полная сила избыточного гидростатического
давления приложена в центре давления. Вектор полной силы давления Ризб должен
проходить через точку пересечения ее горизонтальной и вертикальной
составляющих, то есть Рx и Рy , под углом . Таким
образом, центр давления для криволинейных поверхностей находится
графоаналитическим путем. Если криволинейная поверхность цилиндрическая, то сила
Ризб
будет проходить через центр радиуса кривизны этой поверхности. При расчётах
тонкостенных цилиндрических сосудов, подверженных внутреннему давлению: судотрубопроводы,
котлы и ёмкости, заполненные жидкостью или газом – возникает задача расчета
определения толщины их стенок.
Литература:
Л. Р. Аксютин и др. Справочник
капитана дальнего плавания. М.: Транспорт,
1988. – С.248