Экономика / Экономика предприятия
Тамарян Г.М.
ХНЭУ, Украина
Определение методов оптимизации структуры капитала предприятия
Процесс планирования
структуры капитала имеет две составляющие: оптимизацию соотношения заемного
финансирования и собственных средств и выбор конкретных финансовых инструментов
для привлечения капитала. Эффективное функционирование предприятий основывается
на правильно выбранной и сформированной структуре капитала. Современными
условиями хозяйствования четко выражена экономическая самостоятельность
предприятий в финансовой политике определения размера и структуры своего
капитала. Дифференцированный подход к выбору источников финансирования
деятельности предприятий дает возможность регулировать уровень их финансовой
сбалансированности. Оптимизация структуры капитала – это одна из сложнейших процедур
в управлении формированием капитала и при создании предприятия. Она выражает
такое соотношение использования собственного и заемного капитала, при котором
обеспечивается наиболее эффективная взаимосвязь между коэффициентом финансовой
рентабельности и коэффициентом финансовой устойчивости и тем самым
максимизируется рыночная стоимость (цена) предприятия [4, с. 319]. К основным методам
управления структурой капитала предприятия можно отнести следующие: 1) оптимизация структуры
капитала по критерию максимизации рентабельности собственного капитала; 2) оптимизация финансирования предприятия на основе показателя эффективности
финансирования; 3) использование модели
Модильяни-Миллера с целью оптимизации структуры капитала.
Первым
методом управления структурой капитала предприятия может быть предложена оптимизация
по критерию максимизации рентабельности собственного капитала (финансовый
леверидж). Его действие заключается в том, что предприятие, используя заемные
средства, изменяет чистую рентабельность собственных ресурсов и свои
дивидендные возможности. Т.е. взаимосвязь между прибылью и соотношением
собственного и заемного капитала это и есть финансовый рычаг, с помощью
которого можно управлять прибылью предприятия, максимизируя её. Эффект
финансового левериджа трактуют как увеличение величины чистой рентабельности
собственных средств, которое возникло вследствие использования кредита. Уровень
эффекта финансового левериджа (ЭФЛ) можно рассчитать по формуле [2, с. 141]:
(1)
где ЭР – экономическая рентабельность активов; СРСП – средняя расчетная ставка процента по заемному капиталу; ЗК – заемный капитал; СК – собственный капитал.
Относительно этого
необходимо указать, если новое заимствование приносит предприятию увеличения ЭФЛ,
то такое заимствование полезно. Но при этом следует помнить что, чем больше
дифференциал, тем меньше риск, чем меньше дифференциал, тем больше риск. Именно
поэтому, проблема финансового менеджера заключается в том, чтобы принять
допустимые, рассчитанные риски в пределах дифференциала (ЭР – СРСП). Дифференциал не должен быть
отрицательным. Многие западные ученые считают, что золотая середина близка к
30-50%, т.е. ЭФЛ оптимально должен быть равный 1/3 - половине уровня
экономической рентабельности активов, [6, с. 605-606]. С помощью эффекта
финансового левериджа формируется такое соотношение использования собственных и
привлеченных средств, при котором рентабельность собственного капитала будет
наибольшей. Использование эффекта финансового левериджа открывает перед
финансовым менеджером широкие возможности по определению безопасного объема
заемных средств, расчета допустимых условий кредитования, облегчению налогового
бремени для предприятия, определению целесообразности приобретения акций
предприятия с теми или другими значениями дифференциала, плеча рычага и уровня
ЭФЛ в целом. Если при определении оптимального соотношения собственных и
заемных средств с помощью финансового левериджа было установлено, что необходимо
увеличить объем заемного капитала, или при его отсутствии – привлечь, уместным
будет определить наиболее эффективный вариант финансирования с помощью
показателя эффективности финансирования.
Второй метод
управления структурой капитала это использование показателя эффективности
финансирования, который предложен учеными Довбня С.Б., и Ковзель К.А. В его
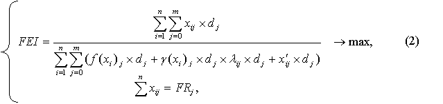
основу положен критерий оптимальности FEІ (fіnancіng effіcіency іndex).
Показатель эффективности финансирования (FEІ) рассчитывается по формуле, [3, c.
139]:


где FEІ (fіnancіng effіcіency іndex) - показатель эффективности финансирования; xіj – объем финансирования, который привлекается с і-го источника в j-ий период времени, ден. ед.; f{xі)j – сумма прямых выплат за использование средств, которые привлекаются с і-го источника, в j-ий период времени, ден. ед.; γ(xi)j – сумма других выплат, связанных с привлечением средств с і-гo источника, в j-ий период времени, размер которых зависит от суммы средств, которые привлекаются, ден. ед.; λij – сумма других выплат, связанных с привлечением средств с і-гo источника, в j-ий период времени, размер которых не зависит от суммы средств, которые привлекаются, ден. ед.; х'іj – сумма возвращения заемных средств, которые привлечены с і-гo источника, в j-ий период времени, ден. ед.; dj – коэффициент дисконтирования для j-го периода времени; FRj (fіnancіng requіrement) – потребность в финансовых ресурсах в j-ий период времени, ден. ед.;
Как показали
исследования, наиболее распространенными способами финансирования являются
банковский кредит (овердрафт), кредитная линия, факторинг, вексель, облигации,
коммерческий кредит, финансовый лизинг. Если предприятие нуждается в
привлечении заемных средств, оно может выбрать несколько вариантов
финансирования и рассчитать показатель эффективности финансирования для этих
вариантов. Оптимальным будет такое соединение источников финансирования, при
котором значения целевой функции (FEІ) будет максимальным.
Еще одним методом оптимизации
структуры капитала является модель Ф.Модильяни и М.Миллера. Ее авторы пришли к
выводу, что рыночная стоимость компании не зависит от структуры капитала. По их
мнению, стоимость капитала компании определяется исключительно потоком ее прибыли,
которая, в свою очередь, зависит от инвестиций. Рыночная стоимость компании представляет
собой капитализацию ожидаемых денежных потоков с учетом риска. Рыночная
стоимость Vo (value) равняется сумме рыночной стоимости оплаченной капитала Veo
(equіty value) и рыночной стоимости долга Do (debt) [5, с. 44]. Использование
модели Модильяни-Миллера сводится к оптимизации структуры капитала с помощью
увеличения или уменьшения стоимости долга. Для этого рассчитывается коэффициент
структуры капитала, который дальше применяется при определении оптимальной цены
долга. Завершающий этап – определение
разности между оптимальной и начальной ценой долга. С помощью полученного
результата можно разрабатывать специальные мероприятия по увеличению или
уменьшению цены заемного капитала.
Предложенный перечень
методов управления структурой капитала обеспечит руководителям предприятия теоретические
предпосылки для принятия эффективных управленческих решений.
Литература:
1)Афанасьев А., Кравченко С. Управление
структурой капитала // Економіка. Фінанси. Право. – 2003. - № 1. – с. 25-27. 2)
Бланк И. А. Управление капиталом. – К.: Ника-Центр, 2004. – 573с. 3) Довбня С. Б., Ковзель К. А. Модель
комплексної оптимізації фінансування підприємства // Фінанси України. – 2006. -
№ 5. – с. 134-141. 4) Крамаренко Г. О., Чорна О. Є. Фінансовий менеджмент:
Підручник. – Київ: Центр навч. літератури, 2006. – 520 с. 5) Сокур М. І., Божик
Д. П. Використання теоретичних підходів теорії Модільяні і Міллера при аналізі
структури капіталу підприємства. – Наукові праці Кіровоградського національного
технічного університету. Економічні науки, вип. 7, ч. ІІІ. – Кіровоград: КНТУ,
2005. – 330 с. 6) Тимошенко О. В. Оптимізація структури капіталу підприємств. –
Економіка: проблеми теорії та практики. Збірник наукових праць. Випуск 213: В 6
т. Том ІІІ. – Дніпропетровськ: ДНУ, 2006. – с. 603-611.