Технические науки/Электротехника и
радиоэлектроника
К.т.н. Рапин В.В
Украинская инженерно – педагогическая академия, Украина
Вхождение в
синхронизм автогенератора с отрицательной фазовой обратной
связью
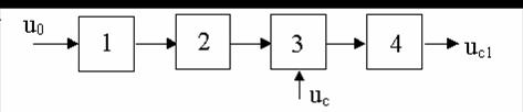
Допустим,
что исходный сигнал синхронизации и сигнал обратной связи, т.е. сигнал
автогенератора, описываются выражениями
и
. Тогда функциональная схема устройства, реализующего процесс
формирования вышеуказанной фазовой обратной связи, может быть представлена
в виде, рис.1.
В
данном случае сигнал обратной связи возводится в квадрат в блоке 1 с последующим
устранением постоянной составляющей разделительной цепью 2. Оставшаяся вторая
гармоническая составляющая перемножается с исходным сигналом
синхронизации в умножителе 3. Первая гармоническая составляющая этого
произведения и есть непосредственный сигнал синхронизации. Его можно представить
следующим образом
, где
.
Рассмотрим,
для определенности, одноконтурный автогенератор с трансформаторной обратной
связью. Нелинейную характеристику усилительного элемента считаем безынерционной и аппроксимируем полиномом
четвертой степени
, где
управляющее напряжение,
-фиксированное смещение, а
-напряжение положительной обратной связи на входе
усилительного элемента, оно же является сигналом автогенератора. Непосредственный сигнал синхронизации
, в данном случае в виде тока, подается в контур. Тогда одноконтурный автогенератор синхронизированный
на основном тоне описывается уравнением
,
где
-малый параметр;
-безразмерное
время;
;
;
;
;
;
;
;
;
;
;
,
-
резонансная частота контура автогенератора, его сопротивление и добротность,
- модуль
коэффициента положительной обратной связи.
Учитывая
высокую добротность контура, считаем амплитуду и фазу колебаний медленно
меняющимися функциями времени. Пусть также
. Решение вышеуказанного
уравнения, как известно, может быть найдено в виде
. Далее, используя метод усреднения, приходим к укороченным
уравнениям, представляющим амплитуду и фазу колебаний

где
-сдвиг фазы;
-безразмерная амплитуда колебаний;
;
;
и
-амплитуды колебаний
автогенератора в автономном режиме и в режиме синхронизации;
. Начальные условия
, где
.
Эти уравнения и являются
математической моделью синхронизированного автогенератора с отрицательной
фазовой обратной связью второго рода.
Исследования
показывают, что сдвиг фазы устойчивых колебаний автогенератора относительно
внешнего сигнала синхронизации будет меняться в пределах
.
Для исследования
укороченных уравнений
предварительно произведем в них замену
переменной
. Тогда получаем

Изменения сдвига
фазы
, соответствующие устойчивым колебаниям, находятся в пределах
. Начальные условия описываются выражениями
. Далее рассмотрим часто встречающийся на практике случай
малых сигналов синхронизации (
), постоянной фазы
и линейного диапазона
зависимости сдвига фазы колебаний от частотной расстройки (
). Тогда рассмотрению подлежит одно уравнение
![]()
Можно показать, что искомая зависимость и установившееся
значение сдвига фазы описываются выражениями
, ![]()
где
,
.
Поскольку время
установления зависит от начальных условий, то его целесообразно определять
статистически. Отсчет времени ведется от момента подключения внешней силы к работающему
генератору. Начальный сдвиг фазы случаен и закон распределения его в
интервале шириной
может считаться
равномерным
. Тогда закон распределения случайной составляющей сдвига
фазы в разные моменты времени остается равномерным и равным
, а сама она меняется во времени в интервале шириной
. Далее, вводим параметр
, задающий относительный уровень сдвига фазы, соответствующий
окончанию переходного процесса, и переходим к выражению
,
которое описывает длительность процесса
установления сдвига фазы колебаний синхронизированного автогенератора для
разных значений частотной расстройки и начальных условий. Это выражение
позволяет найти закон распределения времени установления информационного
параметра
.
Литература:
1. Rapin V. Synchronized
oscillators with the phase negative feedback // IEEE Transactions on Circuits
and Systems. CAS-49. 2002. .№ 8. P. 1242-1245.
2. Rapin V. On the phase
feedback in the synchronized oscillators. 2nd IEEE International Conference
on Circuits and Systems for Communications. June 30 –
3. В. Рапин. Синхронизированный
LC-автогенератор
с обратной связью // Радиотехника.
2003. №9. С. 43-46.