УДК 303.725.33:633/635
Потапова Н.А., Колісник М.І.
Вінницький національний аграрний університет
ЕКОНОМЕТРИЧНА МОДЕЛЬ ДІЯЛЬНОСТІ ГАЛУЗІ РОСЛИННИЦТВА
Розвиток сучасної економічної науки тісно
пов’язаний з проведенням досліджень на основі розробки методик, основою яких є
економіко-математичні моделі. Моделювання є
одним із основних засобів опису економічних систем та процесів у загальній
теорії управління. При цьому досліджуваний об’єкт уявляють як модель –
сукупність деяких формалізованих характеристик, здатних відтворювати його
поведінку. Модель є відображенням реальної системи в математичних формулах,
розрахунках, статистичних спостереженнях і експериментах. При розробці моделі економічної системи або
процесу передбачається: по-перше,
проведення якісного аналізу причинно-наслідкових зв’язків на основі засад
теоретичної економіки; по-друге, оцінка характеристик існуючої системи і,
наприкінці, створення математичних співвідношень та залежностей здатних
відтворювати зв’язки між її характеристиками. Слід зауважити, що коли мова
йдеться про використання економіко-математичної моделі на перший план виходить
економічне обґрунтування зв’язків, співвідношення яких буде відображувати
модель, тобто необхідним є системне мислення економіки вцілому. Незрозуміле включення факторів у модель
робить її нецікавою та непридатною для аналізу.
Основним показником оцінки ефективності виробництва є рентабельність.
Специфіка аграрного сектору економіки визначена як основними технологічними
факторами, так і значною залежністю діяльності від методів та способів
використання грошових коштів. З цим пов’язаний стохастичний вплив на рівень
рентабельності таких факторів як оборотність запасів, дебіторська та
кредиторська заборгованість, строки використання капіталу ті ін. Діяльність
значної кількості сільськогосподарських підприємств пов’язана з ефективністю
внутрішньогосподарського механізму управління підприємством. Так, різниця
термінів дебіторської та кредиторської заборгованості збільшує (або зменшує)
частину заборгованості здатної формувати товарний кредит, який в свою чергу
відображується на оборотності запасів, зміна приросту яких формує розмір
очікуваного прибутку. В зв’язку з цим постає необхідність у розробці методики
аналізу рентабельності сільськогосподарських підприємств на основі сумісного
впливу факторів виробництва та фінансування. Такий аналіз можливо проводити на
основі системної економетричної моделі по визначеній системі показників.
Факторна лінійна модель залежності рентабельності виробництва від
рослинництва та тваринництва має вигляд:
|
y = f(у1,у2) y = а0+ а1у1 + а2у2 |
(9.5) |
де y –
рівень рентабельності по підприємству, %.
у1 – рівень
рентабельності рослинництва, %.
у2 – рівень
рентабельності тваринництва, %.
а0, а1, а2
– коефіцієнти обчислені на основі методи найменших квадратів.
Дослідження впливу ефектів на розвиток галузі рослинництва по даній
сукупності описує системна модель, що отримана на основі непрямого методу
найменших квадратів на методу максимальної відповідності. При цьому
рекомендованими оцінками діяльності галузі рослинництва можна визначити через групу
технологічних та економічних факторів.
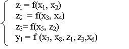
Формалізована модель має вигляд системи залежностей:

(1)
де х1 – обсяг
виробництва зернових і зернобобових, ц;
х2 – різниця
між собівартістю та ціною зернових, грн.;
х3– різниця
термінів дебіторської та кредиторської заборгованості, днів;
х4 –
тривалість оборотності запасів, днів;
х5 –
коефіцієнт довгострокового залучення капіталу;
х6 –
коефіцієнт співвідношення ріллі та площі сільськогосподарських угідь;
х7 – основні
працівники рослинництва, чол.;
х8 – розмір
витрат на 1 грн. виручки по галузі рослинництва, грн.;
z1 – %
зернових та зернобобових в товарній продукції рослинництва;
z2 –
наявність власних оборотних коштів, тис. грн.;
z3 –
коефіцієнт фінансової незалежності;
у1 – рівень
рентабельності рослинництва, %.
Оцінка рентабельності рослинницької галузі (у1) підприємств
Вінницької області за 2006-2011 рр. показала, що при зростанні
кількості основних працівників рослинництва на 1% рентабельність галузі зросте
на 0,387%. При зростанні витрат на 1 грн. виручки по галузі рослинництва на 1%
рентабельність рослинницької галузі зменшиться на 0,265%. При зростанні на 1
відсоток місткості зернових та
зернобобових в товарній продукції рослинництва рентабельність зросте на 2,943.
При зростанні на 1% коефіцієнта фінансової незалежності рентабельність
рослинництва зросте на 0,881%. При зростанні на 1% співвідношення ріллі в
структурі площ сільськогосподарських угідь рентабельність зменшиться на 9,
7.
Література
Моисеев Н.Н.
Математические задачи системного анализа. – М.: Наука. Главная редакция
физико-математической литературы, 1981. – 488 с.
Айвазян С. А. и др.
Прикладная статистика: Основы моделирования и первичная обработка данных.
Справочное изд. / С. А. Айвазян, И. С. Енюков, Л. Д. Мешалкин. – М.: Финансы и
статистика, 1983. – 471 с.
Потапова Н.А.
Теоретичні аспекти економіко-математичного моделювання економічних систем/
Збірник наукових праць Вінницького державного агарного університету. – Вінниця,
2006. – Випуск 28. – С. 181-189.