Математика/4. Прикладная математика
Д.ф.м.-н. Бурова И.Г.
Санкт-Петербургский
государственный университет, Россия
О построении численных методов решения задачи Коши на
основе неполиномиальных непрерывно-дифференцируемых интегро-дифференциальных
сплайнов
В материалах конференции [1] предлагались
неявные интерполяционные методы численного
решения задачи Коши, полученные
с помощью непрерыв-ных
интегро-дифференциальных
сплайнов. Здесь обсудим построение
непре-рывно-дифференцируемых
интегро-дифференциальных
базисных сплайнов пятого
порядка аппроксимации и построение соответствующего численного метода решения задачи Коши.
Пусть
-
сетка упорядоченных узлов на промежутке [a,b],
чебышевская система на
. Предполагаем, что
определитель Вронского,
построенный по системе
, отличен от нуля на
промежутке
. На промежутке
функцию
,
, приближаем с помощью ![]()

Здесь
а базисные функции
находим из соотношений
![]()
Нетрудно
показать, что
при ![]()
где
– однородное дифференциальное уравнение,
имеющее фундаменталь-ную систему решений ![]()
Пусть
![]()
Переходя
к переменной
получаем формулы
![]()
![]()
Интегрируя базисные сплайны, получаем

Далее покажем, как построить численный
метод для решения задачи Коши
,
∈![]()
Заменяя в формуле
Ньютона-Лейбница
подынтегральное выражение
на
получаем неявный интерполяционный численный метод

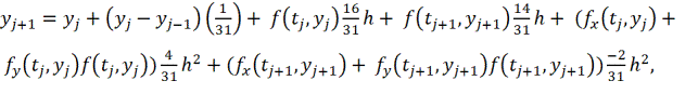
Поэтому, например, в
полиномиальном случае имеем правило
причем для погрешности метода на
шаге сетки
имеем
неравенство
![]()
Очевидно легко получить обобщение для решения систем
уравнений..
Пример. Будем решать задачу Коши
![]()
Очевидно решение этой задачи ![]()
Строим приближенное решение с помощью предложенного
метода при шаге сетки h=0.01 на промежутке [0, 20]. На рис.1 представлена погрешность решения.
251658240
Рис.1.График погрешности решения
Литература:
1. Бурова
И.Г. Materialy IX mezinarodni vedecko-prakticka konference «Moderni
vymozenosti vedy-2013». 27.01.13-05.02.2013. Прага. 2013. С. 3-6.