К. ф.-м. н. Мирская
Е.И.,
к. ф.-м. н. Марзан
С.А.
Брестский государственный университет
имени А.С. Пушкина,
Республика Беларусь
СРАВНИТЕЛЬНЫЙ АНАЛИЗ ДИСПЕРСИИ ОЦЕНКИ СПЕКТРАЛЬНОЙ ПЛОТНОСТИ В
ЗАВИСИМОСТИ ОТ
ОКОН ПРОСМОТРА ДАННЫХ
Исследование статистических оценок
спектральных плотностей является одной из классических задач анализа временных
рядов.
Среди непараметрических методов
спектрального оценивания одним из наиболее распространенных является метод
Уэлча [1]. Этот метод предполагает деление временного ряда на интервалы и
вычисление периодограммы для каждого из них. Итоговая оценка получается путем
осреднения отдельных периодограмм. Введение такой процедуры осреднения
позволяет уменьшить дисперсию оценки в число раз, равное числу интервалов
разбиения.
Рассмотрим r-мерный стационарный случайный процесс
,
, с
,
, неизвестной взаимной спектральной плотностью
,
,
.
Пусть
−
последовательных
наблюдений за составляющей
процесса
,
,
, и
, где
− число пересекающихся
интервалов разбиения длины
.
В качестве оценки взаимной спектральной
плотности процесса исследована статистика вида
, (1)
где
,
,
,
, модифицированная периодограмма на
−ом интервале разбиения, а
задано выражением

,
,
,
.
Исследовано асимптотическое поведение
дисперсии оценки (1).
Теорема
1. Если взаимная спектральная плотность
,
,
непрерывна в точке
и ограничена на
, семиинвариантная спектральная плотность 4−го порядка
ограничена на
, окна просмотра данных
,
ограничены единицей и
имеют ограниченную вариацию, выполняется соотношение
, (2)
то для оценки
,
, заданной выражением (1), справедливо соотношение
![]()

где
− некоторая
постоянная,
,
.
Доказательство. В соответствии с работой [2] ковариация оценки
,
,
, может быть представлена в виде суммы трех слагаемых
,
и
. Рассмотрим каждое из слагаемых.
Учитывая, что семиинвариантная спектральная плотность 4-го
порядка ограничена, выполняется соотношение (2), можно показать, что
.
Рассмотрим случай:
. Учитывая непрерывность взаимной спектральной плотности
в точке
, используя неравенство Гельдера, и так как
ограничена на
, получим, что
,
.
Рассмотрим случай:
. Аналогично можно показать, что
,
.
Теорема доказана.
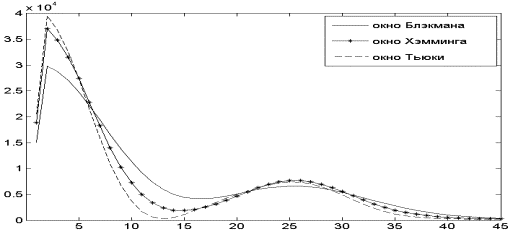
С помощью математического
пакета Matlab для конкретного временного ряда был проведен
сравнительный анализ дисперсии оценки (1) для окон просмотра данных Блэкмана,
Хэмминга, Тьюки для 50%-ного перекрытия интервалов. Показано, что дисперсия оценки
минимальна при использовании окна просмотра данных Тьюки.

Рисунок
– 1 График оценки спектральной
плотности, построенной по 50 наблюдениям групп солнечных пятен за период с 1940
по 1990 год.
СПИСОК
литературы
1.
Welch, P. D. The use of FFT for the estimation of power spectra /
P.D.Welch // IEEE Trans. Electroacoust. –
1967. – V. 15, № 2. – Р. 70–73.
2. Труш,
Н.Н. Асимптотические методы статистического анализа временных рядов / Н.Н.
Труш. – Мн.: БГУ, 1999. – 218 с.