Ложкин Л.Д.*, Неганов В.А.*, Кононенко А.В.**
* - Поволжский
государственный университет телекоммуникаций и информатики
** - Государственный
научно-производственный ракетно-космический центр
"ЦСКБ-Прогресс"
Точное цветовоспроизведения в ТВ
Показано, что цвета, координаты цветности которых находятся внутри треугольника цветового охвата экрана телевизионного возможно воспроизвести колориметрически точно, т.е. без цветовых искажений. Предложен способ реализации телевизионной системы с колориметрически точным воспроизведением цветности изображения.
Координаты цвета и цветности, порог Мак Адама, цветовые искажения, телевизионная система.
Профессор Н.Д. Нюберг предложил в 1948 г. использовать три понятия точности воспроизведения цвета [1].
Роберт Хант дал академическое определение шести возможных уровней цветовоспроизведения [2]:
1. Спектральное цветовоспроизведение;
2. Колориметрическое цветовоспроизведение;
3. Точное цветовоспроизведение;
4. Эквивалентное цветовоспроизведение;
5. Согласованное цветовоспроизведение;
6. Выделенное цветовоспроизведение.
Из шести определений, сформулированных Р. Хантом, остановимся на втором, а именно «Колориметрическое цветовоспроизведение».
Колориметрическое цветовоспроизведение (colorimetric color reproduction) определяется метомерным соответствием репродукции оригинальному изображению, при котором оба имеют одинаковые CIE-трехстимульные значения. Итогом, является воспроизведение по восприятию, но только в тех случаях, когда оригинал и его репродукция имеют одинаковый размер, окружение и рассматриваются при свете источников с одинаковыми спектральным распределением энергии и фотометрической яркостью. Однако, автор [3] не считает равенство яркости обязательным требованием колориметрического цветовоспроизведения.
В существующей телевизионной системе, телевизионная трехцветная камера формирует три видеосигнала, которые некоторым образом кодируются и передаются на телевизионный приемник. Но, по сути, сама телевизионная камера является прибором для измерения цвета (колориметром) параллельного действия. Поэтому, можно считать видеосигналы видеокамеры, пропорциональны координатам цвета. Тогда необходимые значения видеосигнала можно определить из матричного уравнения, а именно:
|
|
(1) |
||
|
|
(2) |
|
|
Из (1) следует, что для воспроизведения цвета с координатами
Χ, Υ, Ζ необходимы видеосигналы
и
а значит и
координаты цветности в соответствии с (2). При расчете величин видеосигналов
для передаваемых
цветов, цветности которых находятся за пределами цветового охвата экрана
телевизионного приемника, будет иметь место отрицательное значение величин
видеосигнала, и что бы избежать этого, необходимо приравнять отрицательные
значению нулю. На рис. 1 показаны цветовые искажения при использовании идеальной
цветной трехцветной камеры, а в телевизионном приемнике в качестве экрана
применена тот же кинескоп стандарта ЕС. Обозначение на этом рисунке тоже, что и
на рис. 2.

Рис. 1. Цветовые искажения в телевизионной системе, полученные путем передачи сигналов цвета и воспроизведенные на экране, имеющий прибор с использованием люминофоров (кинескоп стандарт EC)
Как видно из рис. 1, цветности, находящиеся в внутри цветового треугольника основных цветов экрана телевизионного приемника, оригинала изображения совпадают с воспроизводимым изображением на экране телевизионного приемника. Остальные координаты воспроизводимых цветов (за пределами треугольника цветового охвата) находятся на наиболее кратчайшем расстоянии от стороны треугольника основных цветов экрана телевизионного приемника.
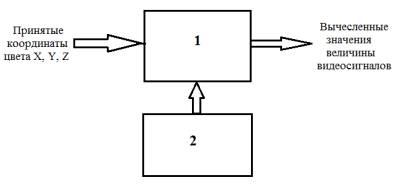
На рис. 2 показана добавляемая схема. Рассмотрим эту схему.
Принятый сигнал с телецентра поступает на первый вход вычислительного
устройства (1), на второй вход этого устройства поступают из постоянного
запоминающего устройства (2) девять величин обратной матрицы, приведенной в
выражении (5). Значения этих коэффициентов определяется единожды, и зависят от типа экрана телевизионного
приемника, а еще лучше однажды измеренные координаты цветности основных цветов
для конкретного телевизионного экрана и расчета коэффициентов обратной матрицы.
В вычислительном устройстве происходит вычисления величин видеосигналов
для воспроизведения
на экране цвета с координатами X, Y, Z. В вычислительном устройстве (1) должна быть
использована простая логика, а именно, если значение любого вычисленного
значения
меньше 0, то его
значение приравнивается 0.

Рис. 2. Добавляемый узел в телевизионный приемник
Известно, что практическая реализация двухгорбной кривой
спектральной чувствительности, затруднена, и на практике гораздо легшее
реализовать одногорбую кривую спектральной характеристики чувствительности,
например с кривой, предложенной Д. А. Шкловером, или одногорбую кривую красного
канала в этом случае будем иметь
искаженные координаты цвета на определенную величину. Обычно измерение
координат цветности с помощью классического колориметра параллельного действия
(в нашем случае мы предложили считать трехцветную телевизионную камеру именно
таким прибором) производится с точностью
что составляет от
1.75 до 8.7 порогов Мак Адама.
Не обходимо, так же учесть, что согласно [4, 5] допустимые
отклонения координат цветности основных цветов составляют
что также приводит к
дополнительным цветовым искажениям порядка 2 порогов Мак Адама.
Таким образом, показано, что практически можно значительно уменьшить цветовые искажение в телевидении, при этом упрощается схема камерного канала телецентра, но повышаются требования к спектральным характеристикам чувствительности самой трехцветной телевизионной камеры. Также должны быть повышены требования на уменьшение разброса координат цветности однотипных телевизионных экранов при их массовом изготовлении, либо их измерении с точностью рекомендованных ГОСТом. При этом незначительно усложняется схема самого телевизионного приемника.
Библиографический список
|
1. |
Нюберг Н.Д. Теоретические основы цветовой репродукции. /Н.Д. Нюберг.//М.: Советская наука, 1948. |
|
2. |
Хант Р.И.Г. Цветовоспроизведение. 6 – издание. Перевод Шадрин А.Е. Санкт-Петербург, 2009, с. 888. |
|
3. 4. 5. |
Измайлов Ч. А. Сферическая модель цветоразличения. М.: МГУ, 1980. — 171 с. ГОСТ 19432 – 76. Телевидение цветное. Основные параметры системы цветного телевидения.// М., Госстандарт. -1976. Ложкин, Л.Д. Дифференциальная колориметрия (Монография) Л.Д. Ложкин. – Самара: ИУНЛ ПГУТИ, 2010. – 320 с. |
Colorimetrically accurate color reproduction in TV
LOZHKIN L.D.*, NEGANOV V.A. *, KONONENKO A.V.**
* - Volga
State University of Telecommunications and Informatics
** - Samara
Space Center "TsSKB Progress"
It is shown that color chromaticity coordinates
of which are inside the triangle gamut screen television may play a
colorimetric exactly, ie without color distortion. Provides a method for
implementing a television system with colorimetrically accurate color reproduction
of images.
Color coordinates and chrominance threshold Mac
Adam, color distortion, television.