Лебедев Кирилл Сергеевич
Аспирант ООО «Вост-ЭКО»
Ворошилов Ярослав Сергеевич
Одна из особенностей
окисления каменных углей при различных влажностях воздуха.
В настоящее время в большинстве
математических моделей процесса самовозгорания угля константа скорости сорбции
принимается условно-постоянной. Ее изменение связано только с изменением
температуры, в некоторых случаях зависит от фракционного состава [1-3]. Редко
принимается во внимание влияние влаги на скорость окисления. Дезактивация угля
во времени, как правило, не учитывается, что противоречит результатам
экспериментов [4]. Вместе с тем, простейшие расчеты показывают, что суммарная
тепловая энергия, выделенная в процессе сорбции кислорода углем, с учетом
дезактивации, нагреет его незначительно.
Таким образом, выявление наиболее значимых факторов, способствующих
поддержанию активности угля на уровне, достаточном для самовозгорания, является
актуальным.
На
сегодняшний день подтверждено, что при механическом воздействии происходит
разрушение молекулярной структуры углей, которое сопровождается разрывом
эфирных связей с ароматическими ядрами внутри алифатических структур с
последующим высвобождением водорода, в виде повышенного содержания CH2– и CH3– групп и
образованием фенольных гидроксилов [5], что указывает на возникновение процесса
окисления в углях. При этом
установлено, что при сдвиговом ударе окисление углей проявляется более
существенно [6]. Таким образом, подтверждена теория активации процесса окисления
угля в ходе механодеструкции.
Для дополнения уже существующих положений,
была проведена серия экспериментов по определению изменения константы скорости
сорбции во времени с учетом влажности. Были подготовлены пробы каменного угля
марки СС разреза «Кедровский» фракцией 0,4 – 0,7 мм. Затем на основании
результатов проведенной предэкспериментальной подготовки по определению времени
нахождения пробы в сушильном шкафу для достижения необходимого влагосодержания,
сформированные 12 проб были помещены в сушильный шкаф. Пробы угля находились в
сушильном шкафу с рассчитанными временными интервалами. Было подготовлено 12
проб, влагосодержание которых соответствует влажности воздуха Fi - 0, 15, 30,
35, 40, 45, 50, 55, 60, 70, 80, 90. Проба, имеющая исходную влажность (100%),
не проходила высушивание.
Далее
подготовленные пробы были помещены в герметичные емкости, для проведения
замеров изменения концентрации кислорода в процессе сорбции его углем с
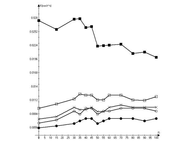
течением времени газоанализатором М-40. На рисунке 1 представлены графики
изменения констант скорости сорбции проб на всем интервале влажности воздуха.

Рисунок 1 – Графики дезактивации проб угля с учетом
влажности воздуха.
■ – изменение констант скорости сорбции на
первые сутки,
□ – изменение констант скорости сорбции на
третьи сутки,
● – изменение констант скорости сорбции на
седьмые сутки,
○ – изменение констант скорости сорбции на
десятые сутки,
× – изменение констант скорости сорбции на
четырнадцатые сутки.
Как видно из графиков, наибольшие значения
констант скорости сорбции после первых суток дезактивации имеют пробы при Fi, равной 30, 35, 40 и 45%, которые попадают в интервал
критической влажности, при которой увеличивается дробимость угля [7]. Это подтверждает предположение о возможном
перераспределении внутренних напряжений [8], которые приводят к увеличению
дробимости каменных углей, и, как следствие, наибольшей активности при
окислении.
На рисунке 2 более подробно показана
дезактивация проб угля во времени. При этом для удобства приведены не все
значения констант скорости сорбции.

Рисунок 2 – График изменения констант скорости сорбции
во времени для проб, полученных при различной влажности воздуха.
-
проба при Fi = 0,
- проба исходная, Fi = 100,
- проба при Fi = 45.
Графики изменения констант скорости
сорбции с учетом времени для остальных проб лежат в плоскости граничных
влажностей воздуха – от 0 до 100%. Данные результаты показывают, что независимо
от влажности воздуха, константа скорости сорбции с течением времени будет
изменяться симбатно.
Затем уже дезактивированные пробы,
полученные при влажности воздуха 0, 15,
30 %, были помещены в эксикатор; полученные при влажности воздуха 70, 80, 90 и
100% (исходная) были помещены в сушильный шкаф для приобретения ими
влагосодержания, соответствующего критической влажности воздуха в 45% (выход
влаги из супермикропор) [7]. Проводилось подтверждение гипотезы об активации
угля при изменении данного параметра. На рисунке 3 представлен график
дезактивации угля на 14-е сутки с учетом влажности воздуха, а также отмечены
точки активации (данные получены усреднением констант скорости сорбции).



Рис. 3 – График дезактивации угля во времени с учетом
влажности воздуха, с точками активации.
× – график изменения констант скорости сорбции
проб, полученных при различной влажности воздуха, на 14-е сутки,
■ – точка активации проб после нахождения в
эксикаторе (максимальная температура за сутки в процессе дезактивации tmax=0,2 ºC),
♦ – точка активации проб после нахождения в
сушильном шкафу (максимальная температура за сутки в процессе дезактивации tmax=0,13 ºC).
Таким образом, после дезактивации проб на
14-е сутки, была получена активация на 17-е сутки, и значение константы
скорости сорбции близко к значению после первых суток, что подтвердило нашу
гипотезу. Следовательно, можно утверждать, что характер химической реакции
активации угля одинаков как при механодеструкции, так и при «внутренней механоактивации» за счет колебания
внутрипорового давления при выходе влаги из микро- и супермикропор, что
приводит к нарушениям в структуре угля с образованием новых активных центров
[4,8].
Выводы:
1. В ходе
экспериментов было установлено, что константы скорости сорбции исходной пробы и
проб угля, полученных при различной влажности воздуха во времени изменяются
симбатно. Это свидетельствует о том, что принципиальной разницы между процессом
«чистой» механоактивации и процессом «внутренней механоактивации» угля нет.
Важным фактором в данном процессе являются
внутренние напряжения в структуре угля, которые создаются посредством изменения
влажности воздуха над пробой, что приводит к колебанию внутрипорового давления
и как следствие, к возникновению деформаций («внутренняя механоактивация»), по
характеру сопоставимых с механодеструкцией.
2. Установлено,
что процессом химической активации дезактивированного угля можно управлять
посредством изменения влажности воздуха. Увеличение константы скорости сорбции
произошло: после увлажнения проб, полученных при влажности воздуха 0 – 30%, до
критической влажности воздуха 45%, в 2,5 раза; после сушки проб, полученных при
влажности воздуха 70 – 100%, до критической влажности воздуха 45%, в 1,6 раза.
Список литературы:
1. Веселовский В.С. Самовозгорание промышленных
материалов./ Веселовский В.С. Алексеева Н.Д., Виноградова Л.П., Орлеанская
Г.Л., Терпогосова Е.А., – М.: Наука ,1964. – 246 с.
2. Саранчук В.И. Теоретические основы самовозгорания
угля./ Саранчук В.И., Баев Х.А. – М.: Недра, 1976. – 150 с.
3. Кучер Р.В. Структура ископаемых углей и их
способность к окислению./ Кучер Р.В., Компанец В.А., Бутузова Л.Ф. – Киев.:
Наукова думка, 1980. – 166 с.
4. Ворошилов С.П. Бескислородная дезактивация угля./
Ворошилов С.П., Ворошилов А.С. Грачева Т.М. Лебедев К.С., Сазонов М.С.//
Вестник Научного центра по безопасности работ в угольной промышленности. - 2009.
- №1. – с. 33 – 37.
5. Хренкова Т.М. Исследование продуктов
механодеструкции газового угля, применяемого в процессе гидрогенизации./
Хренкова Т.М., Голденко Н.Л. // Химия твердого топлива. – 1978. - №5. с. 43 –
44.
6. Гирина Л.В. Изменение физико-механических свойств
бурого угля при механических воздействиях различного характера./ Гирина Л.В.,
Лукьяненко Л.В., Амосова Я.М. // Химия твердого топлива. – 1991. - №5. с. 37 – 42.
7. Ворошилов А.С. Зависимость показателя
дробимости каменных углей от влагосодержания./ Ворошилов А.С., Лебедев К.С.,
Сазонов М.С.// Вестник Научного центра по безопасности работ в угольной
промышленности. – 2010. - №1. с. 99 – 102.
8.
Ворошилов А.С. Моделирование изменения
объема каменных углей в зависимости от их влагосодержания./ Ворошилов
А.С.// Вестник Научного центра по безопасности работ в угольной промышленности.
- 2010. - №2. с. 88 – 91.