Биологические науки/4.
Ресурсоведение и интродукция растений
Андріцьо М.О., Алексєєва А.А.
Дніпропетровський національний університет ім.
Олеся Гончара, Україна
ДЕЯКІ ОСОБЛИВОСТІ АДАПТАЦІЇ ІНТРОДУКОВАНИХ ВИДІВ РОДІВ MAGNOLIA L. TA LIRIODENDRON L.
Інтродукція та акліматизація рослин –
основний шлях збагачення культурної дендрофлори новими декоративними видами. У
степовій зоні України, де розвиток аборигенної деревної рослинності досить
обмежений посушливими умовами недостатньою кількістю опадів, суховіями, ранніми заморозками та холодними
зимами, розширення асортименту декоративних насаджень новими видами та формами
набуло не аби якої актуальності. Гарно квітучі садові дерева, вважаються особливо цінними для
озеленення нашого регіону [1].
Метою нашої роботи була оцінка
пристосованості різних за географічним походженням рослин Magnolia L. та Liriodendron L. до ґрунтово-кліматичних умов
району інтродукції на основі аналізу змін активності ферментів антиоксидантного
захисту.
Дослідження проведено на листках
наступних видів родини Magnoliaceae, що входять до складу колекції Ботанічного
саду Дніпропетровського національного університету ім. Олеся Гончара: Magnolia kobus DC. (Японія та Корея), Magnolia tripetala L. (Північна Америка), Magnolia loebneri (Германія), Magnolia denudate Desr.(Китай), Magnolia x soulangeana Soul.-Bod.
(Франція), Liriodendron tulipifera L. (Північна Америка) [2]. Листки магнолій збирали у травні та
листопаді 2015 року. Активність каталази (САТ) та бензидин-пероксидази (BPOD)
визначали за [3]. Статистичну обробку результатів,
отриманих у триразовій повторності, здійснено за допомогою пакета Microfoft
Statistica 6.0. Розбіжності між вибірками вважали значущими при р ≤ 0,05.
Одними із основних внутрішньоклітинних інгібіторів
вільнорадикальних процесів є ферменти антиоксидантного захисту – пероксидаза та
каталаза, яким відводиться значна роль у підтриманні рослинного організму у
необхідному для життя відновленому стані [4].
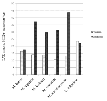
Нами
було виявлено зменшення активності BPOD у осінніх листках M. kobus та M. x soulangeana майже на 40 %, у той час
як активність САТ у листках першого виду залишалась незмінною протягом
вегетації, а у другого – зростала у три рази (рис.).

а б
Рис. Функціонування антиоксидантних ферментів у
листках Magnolia та
Liriodendron: а – активність каталази, б – активність пероксидази; усі розбіжності між вибірками достовірні за
р<0,05
Пероксидазна активність у листках М. denudatе була однаковою як у травні, так і у листопаді. Проте активність САТ
зросла з весни до осені на 197 %. Відмічено, що у листках M. tripetala та L. tulipifera восени активність BPOD збільшилась приблизно на 35-40 %, у той час як активність САТ у
листках першого виду зростала у 2,5 рази, а у другого дещо падала. У осінніх
листках M. loebneri спостерігалось двохкратне підвищення активності обох ензимів. Активація
ферментів перикисного окислення може
бути пов’язана з реакцією на підвищені температури, а інактивація – з
накопиченням великої кількості пероксидів у результаті стресових умов
(підвищення температури, [5].
У процесі вироблення механізмів резистентності до
окиснювального стресу життєздатність виду буде тим вище, чим більша кількість
потенційних антиоксидантів активовано. Наші данні свідчать про те, що серед
досліджуваних видів найбільш перспективними для використання у системі
озеленення степової зони України виявилися М. tripetala, M. loebneri, M. denudate, M. x
soulangeana.
Література:
1.
Лапин П.И.,
Сиднева С.В. Оценка перспективности интродукции древесных растений по данным
визуальных наблюдений // Опыт
интродукции древесных растений. – М.: Наука. 1973. – С.7-68.
2. Опанасенко В.Ф. Колекція рослин ботанічного саду Дніпропетровського національного/ В.Ф.Опанасенко,
І.О.Зайцева, А.М.Кабар, К.О.Сироватко, Н.В.Мартинова, Л.Л.Русецька,
І.Л.Домницька, С.М.Рибалка, І.В. Білик, Є.М.Рудницька // Дніпропетровськ: РВВ ДНУ, 2008. – С.106
3. Горб А. С., Дук Н. М. Клімат
Дніпропетровської області. – Д.: Вид-во ДНУ, 2006. – 204 с.
4. Бессонова В. П. Методи фітоіндикації в оцінці екологічного стану довкілля: Навч.
посібник /В.П. Бессонова. – Запоріжжя: ЗДУ, 2001. – 196 с.
5. Хромих Н.О. Вплив асоційованих з
альтитудою схилу умов мікроклімату та освітленості на фізіолого-біохімічні
процеси в листі дерев прибережного лісу/Н.О.
Хромих, І.А. Іванько, І.М. Коваленко, Ю.В. Лихолат, А.А. Алексєєва // Вісник
Дніпропетровського університету. Біологія, екологія. – 2015. – 23, №2. – С.
177–182.