Экономические науки/2. Математические
методы в экономике
К.т.н., проф. Азарова А. О., аспірант Бондарчук А. В.
Вінницький національний технічний університет, Україна
Економічна сутність та суб’єкти інноваційної
привабливості підприємства
Для задоволення потреб споживачів за такими категоріями як ціна і якість
керівництву підприємства необхідно приваблювати вільні грошові засоби
потенційних інвесторів. Дослідження інноваційної привабливості підприємства дає
відповідь на питання потенційного інвестора, на скільки вигідно вкладати вільні
грошові засоби в дане підприємство? Тобто, це показник «успішності»
підприємства на ринку з урахуванням інноваційності шляху розвитку, ринку
інновацій [1].
Промислове виробництво, орієнтоване на
виробництво інноваційної продукції (продуктових інновацій) з використанням
процесних інновацій, реалізацією управлінських інновацій, повинно мати деякий
інноваційний потенціал, раціональне використання якого дозволило б забезпечити
інноваційні властивості продукції, що виготовляється, тобто підвищити
інноваційну привабливість [2].
Забезпечення
інноваційної привабливості підприємства підвищує його спроможність залучати
інвестиційні ресурси як в основну, так і в інноваційну діяльність [3].
Необхідність більш точного, ніж представлено сьогодні в літературі
визначення дефініції «інноваційна привабливість», продиктовано світовими
тенденціями до глобалізації, прагненням до стандартизації, використанням в
науці та професійній сфері термінів, що означають різними мовами одне і те саме
[1].
Поняття «інноваційна
привабливість» з‘явилося ще на початку XXI століття, проте в широкому друці тільки шість років потому. При цьому поняття інноваційної привабливості на
той момент було паралельним з поняттям інвестиційної привабливості, тобто одним
замінювалося інше і особлива різниця не виділялася [1, 3].
Сьогодні,
коли успішність будь-якої справи напряму залежить від інноваційності її
розвитку, значимість терміна інноваційна привабливість значно зросла і зумовила
проблему чіткої дефініції цього поняття. [1].
Інноваційна привабливість
підприємства - це сукупність
інноваційно-орієнтованих показників конкурентоспроможності суб’єкта на
інноваційному ринку, сформована на основі технічних, фінансових,
організаційних, наукових та кадрових характеристик даного суб’єкту [3].
Категорію
«інноваційна привабливість підприємства» можна трактувати з різних позицій [3].
Аналіз існуючих на сьогодні теоретико-методологічних
підходів до вивчення інноваційної привабливості суб‘єкта господарювання
дозволяє виділити основні аспекти у визначенні даної економічної категорії [4].
З позиції
формалізації інноваційна привабливість – це система показників, що характеризує
ефективність використання інноваційного потенціалу підприємства в умовах
розроблення або впровадження інноваційного проекту або програми [5].
Інноваційна
привабливість суб‘єкта господарювання може бути виражена також через
встановлення перспектив його розвитку, тобто через характеристику можливостей
реалізації на його базі певного інноваційно-інвестиційного проекту, і, відповідно,
через виявлення міри задоволення всіх учасників цього проекту залежно від
ступеня наближення результатів проекту та досягнутих ефектів до очікуваних [4].
На даний час
найбільш широко використовується трактування інноваційної привабливості як складової
інвестиційної привабливості окремого суб‘єкта
господарювання на мікроекономічному рівні [3, 4].
У даному
контексті інноваційна привабливість підприємства визначається на основі оцінки
ефективності середньострокових і довгострокових інвестицій у нововведення на
підприємстві [5].
Інноваційна привабливість виступає в ролі сукупності технічних, фінансових,
організаційних, інтеграційних, кадрових характеристик суб’єкта господарювання,
які оцінюються потенційним новатором (в особі зовнішнього інвестора чи
власника) для прийняття інвестиційного рішення про вкладення коштів у
фінансування конкретних інновацій. Доцільно зауважити, що цінність представляє
лише комплексний аналіз цих характеристик [3].
Тобто в цьому
випадку інноваційна привабливість підприємства виступає як така характеристика,
що враховує суперечливі цілі інвестора, а саме максимальний прибуток при
мінімальному ризику на певному об'єкті [3].
За умов підвищеної
нестабільності середовища важливим є введення до характеристики рівня
інноваційної привабливості суб‘єкта господарювання залежності цього суб‘єкта
від рівня нововведень його конкурентним (галузевим і регіональним) оточенням [4].
Термін «інноваційна
привабливість» доцільно використовувати щодо суб’єкта, який приймає
управлінське рішення щодо вибору об’єкта впровадження інновації.
Суб’єктами
оцінювання інноваційної привабливості підприємства можуть бути різні учасники
інноваційного процесу, що беруть участь у реалізації інноваційної діяльності,
узгоджуючи між собою умови та види співпраці і частку кожного у ресурсному
забезпеченні діяльності та очікуваних економічних результатах від впровадження
протягом життєвого циклу інновацій.
Оскільки кожен
суб’єкт оцінювання формує власні пріоритети та параметри визначення
інноваційної привабливості потенційного або реального об’єкта, доцільним треба
вважати обґрунтування комплексного підходу для прийняття управлінського рішення
[5].
Важливою ознакою
привабливості підприємства є не тільки оцінка результатів його господарювання
та кількість і якість ресурсів, які йому належать, а й рівень його
підприємницької діяльності у відповідному ринковому середовищі з певною ємністю
секторів ринку, взаємозв’язками з партнерами, органами влади, сукупністю
поширених на його діяльність податкових пільг тощо [5].
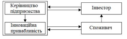
Метою
формування інноваційної привабливості є прискорення досягнення цілей суб'єкта
при отриманні максимального ефекту. До можливого кола учасників
належать: ініціатори, замовники, інвестори, менеджери вищої ланки управління
підприємства та контрагенти,
керівництво підприємства і споживачі. Загальну хронологію вибудуємо таким
чином: керівництво підприємства формує інноваційну привабливість свого підприємства
силою свідомого, цілеспрямованого переконання інвестора у досконалості
економічної системи компанії на ринку інновацій. Далі відбувається процес
інвестування інноваційної діяльності підприємства, за рахунок чого останнє
отримує можливість задоволення запитів споживача відповідно до вимоги «ціна» –
«якість», і тим самим максимізувати свої доходи і повернути вкладені на
початковому етапі кошти інвесторові. Все це належить до прямих зв'язків. А
непрямий зв'язок (пунктирні лінії) простежується в максимізації доходів
інвестора. Тобто за рахунок комерціалізації нововведень стає можливим виплатити
інвестору відсотки за використання інвестиційних ресурсів [1].

Рис. 1. Взаємозв’язки процесу
формування інноваційної привабливості підприємства
Таким чином, із точки зору
суб’єктів під інноваційної привабливістю підприємства слід розуміти таке. Інноваційна
привабливість підприємства (з точки зору керівництва підприємства) – можливість залучення в даний час і в довгостроковій перспективі вільних
коштів потенційних інвесторів для реалізації інноваційної діяльності, що
створює об'єктивні передумови сталого розвитку, за яких пріоритети споживачів
постійно змінюються.
Інноваційна привабливість
підприємства (з точки зору споживача) –
можливість придбати інноваційний товар, що задовольняє таку тотожність «ціна» =
«якість».
Інноваційна привабливість
підприємства (з точки зору інвестора) –
можливість отримання надприбутків за рахунок інвестування вільних коштів в
інноваційну діяльність підприємства [1].
Отже, під інноваційної
привабливістю будемо розуміти системний показник конкурентоспроможності
суб'єкта на інноваційному ринку, який характеризує фінансовий, технічний,
наукоємний, кадровий, культурний стан підприємства, і формується керівництвом
суб'єкта господарювання для залучення вільних коштів потенційних інвесторів в
інноваційний розвиток підприємства з метою задоволення потреб споживачів і
максимізації прибутку.
Література:
1.
Пуряев А. С. Инновационная
привлекательность как феномен / А. С. Пуряев, Е. А. Рыбкина
// Инновационная экономика. – 2007. – № 5.
2.
Гуряева М. А. Управление инновационным
развитием промышленного производства / М. А. Гуряева // [Електронний ресурс]. – Режим доступу: http://www.rea.ru/Main.aspx?page=Upravlenie_innovacionnym_razvitiem_promyshlennogo_proizvodstva
3.
Копшинська К. О.
Структура та контурність функціонування інноваційної системи підприємства / К. О. Копшинська // Вісник Київського політехнічного інституту. – 2013. – № 44. –
С. 79 – 85.
4.
Кулініч
Т . В. Підходи до оцінювання інноваційної привабливості регіональних
субєктів господарювання / Т. В. Кулініч // Вісник Львівської
політехніки. – 2011. – С. 227–228.
5.
Рачинська
Г. В. Визначення та оцінювання інноваційної привабливості підприємств /
Г. В. Рачинська, Л.С. Лісовська // Вісник Львівської політехніки. –
2008. – С. 272–276.