К.ф.-м.н.
Докукова Н.A.,
к.ф.-м.н. Конон П.Н.
Белорусский государственный университет, Минск,
Беларусь
Характеристическое уравнение ансамбля n - автономных осцилляторов на подпружиненной платформе с внешним
затуханием
Работа посвящена динамическому
моделированию, расчету и физическим обобщениям колебаний большого числа
метрономов на неподвижной, в начальный момент времени, горизонтальной платформе.
Подобные эксперименты широко известны в научной литературе и представлены, в
том числе, на видео хостинге YouTube.
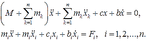
Множество метрономов,
установленных на свободной поверхности платформы, подпертой упругими пружинами и
амортизаторами с общими коэффициентами с
и b, на динамической схеме рисунка 1,
выводят из состояния покоя, сообщая каждому из тел mi,
начальное отклонение
. Маятники метрономов, двигаясь
некоторое время с разными амплитудами и фазами, раскачивают платформу и, через
непродолжительное время, начинают синхронизироваться по частоте и фазе колебаний.
При этом одинаковый для всех метрономов режим движений согласуется с движением
горизонтальной платформы.

Рисунок 1 - Схема
движений n - метрономов на
колеблющейся горизонтальной платформе
Для исследования
и вывода простых закономерностей влияния параметров механической системы на
общий колебательный процесс рассмотрим линейную динамическую схему и уравнения
движения в виде
(1)
Систему
уравнений (1) представим в каноническом виде динамической модели [1 - 3]

где
−
перемещения масс
; − собственные и парциальные частоты
платформы и метрономов;
− коэффициенты
упругости пружин; r = b/M , rj = bj/M, qj=(1/M+1/mj) – относительные величины,
в которых b и bj
коэффициенты демпфирования соответствующих амортизаторов, обеспечивающих
внешнее и внутреннее затухание колебаний; fj=Fj/M и gj Fj/mj – приведенные силы.
Для упрощения расчетов положим, что все собственные и парциальные частоты
n
метрономов одинаковы
,
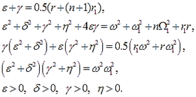
, тогда характеристическое уравнение примет вид:
, (3)
![]()
Условия устойчивости многоэлементной динамической
системы и теорема Виета приводят к системе нелинейных алгебраических уравнений
для определения частот собственных колебаний

(4)
В общем случае
система не разрешима. Задавая числовые значения в правых частях уравнений (4),
например, n = 32, c =
1200 н/м, c1 = 300 н/м, b =
35 нс/м;
b1 = 8 нс/м; M = 25 кг; m1 = 0.125 кг при ε = 0.5(r + (n + 1)r1) - g, получим два набора
частот
и
как точки пересечений поверхностей на рисунках 2.

а) e=0.526, d = 6.416, g = 5.454, h = 52.438 б) e= 5.454, d= 52.438, g = 0.526, h = 6.416
Рисунок 2 - Графический поиск частот собственных колебаний
Представлена
линеаризованная динамическая модель многоэлементной механической системы с
внешним затуханием, выведено характеристическое уравнение общих движений множества
автономных осцилляторов на подпружиненной платформе, получены условия устойчивости
многоэлементной динамической системы, приводящиеся к системе нелинейных
алгебраических уравнений для определения частот собственных колебаний,
представлены численные результаты.
Литература:
1. Докукова Н.А., Конон Н.П., Конон П.Н. Влияние внешнего нагрузочного режима на синхронные движения системы автономных осцилляторов// MNPK XI «Perspektywiczne opracowania
są nauką i technikami - 2015».Techniczne nauki. Matematyka. Fizyka.− Przemyśl.− 2015. - V. 12. − С. 49-55.
2. Докукова Н.А., Кафтайкина Е.Н., Конон П.Н. Исследование синхроннизации движений нескольких осцилляторов с одинаковыми собственными
частотами// МНПК XI «Бъдещето въпроси от света на науката - 2015».
Математика. Физика. Съвременни технологии на информации.−
«Бял ГРАД-БГ» ООД. − София.−
2015. − Т. 18. С. 13-20.
3. Dokukova N.A., Martynenko M.D., Kaftaikina E.N.
// Nonlinear vibrations of hydraulic shock absorbers/ JEPT.- 2008.- V. 81.- N 6,- P. 1197-1200.
4. Dokukova N.A., Kaftaikina E.N., Konon N.P. N sync metronomes on a vibrating
horizontal platform// ISPC XIII «Cutting-Edge Science - 2017». Mathematics.- Sheffield, S Yorkshire, England.− 2017.− V. 5.- P. 38-43.