Козаченко Л. А. к.е.н. доц.кафедри
студентка 5 курсу, спеціальності «фінанси та кредит» Жакоті А. Б.
Миколаївський
міжрегіональний інститут розвитку людини ВНЗ « Університет Україна»
«Активи підприємства як об’єкт фінансового управління»
У статті досліджено суть активів підприємства у сучасних умовах господарювання, структуру та ефективність управління ними, визначаючи цим вплив їх на функціонування підприємства.
Ключові слова: активи підприємства, оборотні активи, необоротні активи, основні засоби, довгострокові фінансові вкладення.
Постановка проблеми: У
сучасних умовах для більшості підприємств типовим наслідком кризових явищ
їхнього економічного розвитку стала гостра нестача необхідного обсягу оборотних
активів, що істотно позначається на ефективності їхнього господарювання. Разом
із цим низька забезпеченість виробничих підприємств оборотними активами
супроводжується низьким рівнем їх використання. Тому сьогодні одним з
найактуальніших завдань у забезпеченні підвищення ефективності виробничої
діяльності підприємств є суттєве вдосконалення управління їхніми активами.
Аналіз
основних досягнень та публікацій. Значний внесок в дослідження проблем управління
активами підприємства зробили такі вчені, як І.О. Бланк, С.В. Калабухова, М.Р.
Ковбасюк, І.Д. Лученок та інші.
Метою роботи є оцінка активів підприємства у сучасних умовах господарювання та ефективність управління ними.
Виклад
основного матеріалу. Підприємства різних форм власності, різних сфер діяльності мають у
своєму розпорядженні певну суму фінансово-господарських засобів, які
забезпечують здійснення господарського обороту. Правильність вкладення
фінансових засобів в активи є однією з найважливіших ознак стійкості
фінансового стану підприємства.
Згідно з П(С)БО 2 “Баланс”, п. 4:
Активи — це ресурси, контрольовані підприємством в результаті минулих подій, використання яких, як очікується, призведе до збільшення економічних вигод у майбутньому.
Активи підприємства — це майно в його матеріальній і нематеріальній формах, придбане
підприємством за рахунок власних або залучених ресурсів, що перебувають у його
розпорядженні та призначені для використання у фінансово-господарській
діяльності з метою отримання прибутку. [1].
Активи являються майновими цінностями підприємства, які формуються за рахунок інвестованого в них капіталу. Вкладений в новий або бізнес, який розвивається, капітал матеріалізується в формі активів підприємства. Між категоріями капітал і активи існує тісний зв’язок: активи можуть розглядатись як об’єкт інвестування капіталу, а капітал – як економічний ресурс, призначений для інвестування в активи. Тільки шляхом інвестування в активи капітал як накопичена цінність включається в економічний процес.
Як економічний ресурс, який використовується в господарській діяльності, активи підприємства характеризуються визначеним виробництвом. Носієм такої їх характеристики виступає як сукупний комплекс операційних активів, сформованих підприємством, так і окремі їх види, представлені засобами праці. При цьому, виробництво активів як потенційна їх характеристика може бути реалізована лише в комплексі з використанням інших економічних ресурсів підприємства, в першу чергу, - праці. Виробництво активів являється визначальним фактором – в найбільш загальному вигляді вона може бути виміряна шляхом співвідношення об’єму виробництва (реалізації) продукції (товарів, послуг) і середньої суми активів, які використовуються в виробничому процесі виробництва, в певному відрізку часу. [1].
До активів відносяться всі види майна підприємства, що належить йому на правах власності і використовуються для здійснення статутної діяльності. Саме розуміння активів як джерела отримання грошових потоків і є основою політики управління активами будь-якого підприємства.

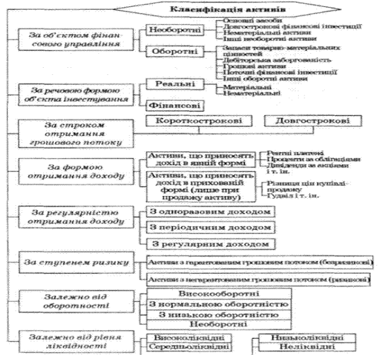
Рис.1.1
Класифікаційні ознаки активів підприємства [3].
Залежно від строку та специфіки використання у виробничій
діяльності підприємства активи поділяють на необоротні (фіксовані) та оборотні
(поточні).
Необоротні активи призначені для тривалого використання в процесі
фінансово-господарської діяльності. До них відносять основні засоби,
нематеріальні активи, довгострокові фінансові вкладення, а також незавершене
будівництво, довгострокову дебіторську заборгованість тощо. Кошти, інвестовані
в необоротні активи, є певною мірою
вилученими з обороту на тривалий період і не можуть бути оперативно
використані на інші цілі. Тому інвестиції в необоротні активи, як правило,
здійснюються за рахунок довгострокових джерел фінансування і докладно
оцінюються з погляду їх доцільності.
Основні засоби є найважливішою складовою необоротних активів, оскільки є необхідними при організації будь-якого виробничого процесу. До основних засобів належать будівлі, споруди, транспортні засоби, меблі, електронні, оптичні, електромеханічні прилади та інструменти, інше офісне обладнання, устаткування тощо. Кошти, інвестовані в основні засоби, так само як і самі основні засоби, часто називають основним капіталом. [2].
Нематеріальні активи займають більш чи менш значущу частку необоротних активів залежно від специфіки діяльності підприємства, його фінансової та інвестиційної політики.' В будь-якому разі — це активи, які досить швидко можуть втратити свою ринкову вартість внаслідок швидкого морального старіння. Тому їх вартість часто не враховують при обчисленні власного капіталу підприємства. Основні засоби та нематеріальні активи неодноразово використовуються у виробничому циклі. В процесі такого використання їх вартість поступово зменшується внаслідок морального та фізичного зносу і переноситься на вартість виробленої продукції.
У складі, необоротних і
оборотних активів розрізняють окремі їх види.
Так, у складі необоротних активів виділяють:
1. Основні засоби. До них відносяться засоби праці, що належать підприємству, в натуральній формі з терміном служби більше одного року і вартістю понад 15 неоподаткованих мінімуми доходів громадян.
2. Нематеріальні активи. До них відносяться придбані підприємством права користування окремими природними ресурсами (землею, водою і т. п.), виробничими зразками, товарними знаками, об'єктами виробничої і інтелектуальної власності (патенти, «ноу-хау», авторські права і т. п.) і інші аналогічні майнові права.
3. Довгострокові фінансові вкладення (фінансові інвестиції). До них
відносяться довгострокові (на термін більше одного року) фінансові вкладення до
статутних фондів спільних підприємств, а також в різноманітні фондові і грошові
інструменти (акції, облігації, депозитні внески і т. п.).
4. Інші види необоротних активів. До них відносяться незавершені капіталовкладення, устаткування, призначене до установки, і деякі інші їх види.[4].
Оборотні активи (або оборотний капітал) є сукупністю майнових цінностей підприємства, що обслуговують господарський процес і повністю споживаються протягом одного виробничого циклу. У практиці господарювання до оборотних активів відносять майнові цінності всіх видів з терміном використання до одного року і вартістю до 15 неоподаткованих мінімумів доходів громадян.
У складі оборотних активів виділяють:
1. Запаси товарно - матеріальних цінностей (матеріальні оборотні активи). До
них відносяться виробничі запаси (сировина, матеріали, пальне і т. д.),
незавершене виробництво, запаси малоцінних і швидкозношуючихся предметів
(засоби праці з терміном експлуатації до одного року і вартістю до 15
неоподаткованих мінімумів доходів громадян), запаси готової продукції (на
підприємствах торгівлі - запаси товарів).
2. Дебіторська заборгованість (розрахунки з дебіторами). До них відноситься заборгованість юридичних і фізичних осіб підприємству за товари, роботи, послуги і інші види.
3. Грошові активи. До них відносяться грошові кошти підприємства в касі, на розрахунковому, валютному і інших рахунках.
4. Короткострокові фінансові вкладення. До них відносяться фінансові вкладення підприємства в різні фондові і грошові інструменти на термін менше одного року. По своєму економічному змісту вони є формою тимчасового використання вільних грошових активів з метою отримання доходів по них в короткостроковому періоді.
5. Інші види оборотних активів. До них відносяться витрати майбутніх періодів
(витрати, зроблені в поточному періоді, але які будуть віднесені на виробництво
в майбутніх звітних періодах) і деякі інші їх види (не віднесені до вище
перелічених груп). [3].
У цілому структура активів підприємства
визначається його діяльністю і суттєво впливає на структуру фінансових
ресурсів, а саме на співвідношення власних та залучених ресурсів,
довгострокових і поточних зобов'язань підприємства.
Висновки:
Отже
з усього вищесказаного можна зробити такі висновки, що у ринкових умовах
господарювання особливої актуальності набуває об’єктивна оцінка управління
активами підприємства, а, отже і дослідження методик проведення аналізу та
розроблення шляхів його покращання. Активи являють собою ресурси, які
перебувають у розпорядженні підприємства і використання яких веде до збільшення
економічних вигод у майбутньому. До них відносять усі існуючі матеріальні
цінності, нематеріальні активи та кошти, що належать підприємству на певну
дату.
Активи являються економічним ресурсом,
який генерує дохід. Здатність приносити дохід в процесі операційної чи
інвестиційної діяльності є однією з найважливіших характеристик активів
підприємства як об’єкта економічного управління. Цей дохід активи генерують
перш за все як економічні ресурси, які мають продуктивність. Відповідно, будучи носієм економічних
характеристик, активи являються об’єктом економічного управління будь-яких макроекономічних
господарюючих систем.
Використана література:
1. Салига С.Я., Дацій Н.В.,
Несторенко Н.В., Салила К.С. Фінансовий менеджмент: Навчальний посібник.- К.:
Центр навчальної літератури, 2006, 274 с.
2. Філімоненко О.С. Фінанси підприємств: Навчальний посібник.- К.: Кондор, 2005.- 400 с.
3. Фінанси підприємств: Підручник / Під ред. Проф. А.М.Поддєрьогіна.-К.: КНЕУ, 2004.-480с.
4. Шиян
Д.В., Строченко Н.І. фінансовий аналіз : Навч. Посібн.-К.: Видавництво
А.С.К.,2006.-С.81-102