Биологические науки / 4.
Ресурсоведение и интродукция растений.
Сторчак И.Г.
Д.б.н.
ЕрошенкоФ.В.
Ставропольский
НИИ сельского хозяйства Россельхозакадемии
Использование NDVI в регрессионных моделях оценки урожайности озимой пшеницы в
Ставропольском крае
Данные дистанционного зондирования земли в аграрном
секторе используются для решения таких задач, как инвентаризация сельхозугодий, контроль
состояния посевов, выделение участков эрозии, заболачивания, засоленности и
опустынивания, определение состава почв, слежение за качеством и
своевременностью проведения различных технологических мероприятий, наблюдение
за динамикой развития сельскохозяйственных культур и прогнозирование
урожайности. К сожалению исследований, позволяющих
разработать систему оценки состояния посевов и их продуктивности с
использованием показателей дистанционного мониторинга из космоса, крайне мало.
Такие данные характеризуются повторяемостью, значительным покрытием и быстрым
доступом, а поэтому применимы к прогнозированию урожайности (Manjunathetal.,
2002; Prasadetal., 2006; Becker-Reshefetal., 2010).
Прогноз урожайности
осуществляется различными методами, среди которых визуальная оценка состояния
полей, статистическая обработка, поиск по году аналогу, модели роста и
регрессионные подходы (Chipanshietal., 1999; Doraiswamy, Cook, 1995; Maselli,
Rembold, 2001; Walletal., 2007).
Целью наших исследований
было установить возможность использования данных дистанционного зондирования
земли для прогнозирования урожайности основной зерновой культуры Ставропольского
края – озимой пшеницы. В качестве исходных данных нами были использованы
материалы Статуправления Ставропольского края и Института космических
исследований РАН – сервис ВЕГА (http://vega.smislab.ru/). Анализ проводили за период с 2003 по 2013 годы.
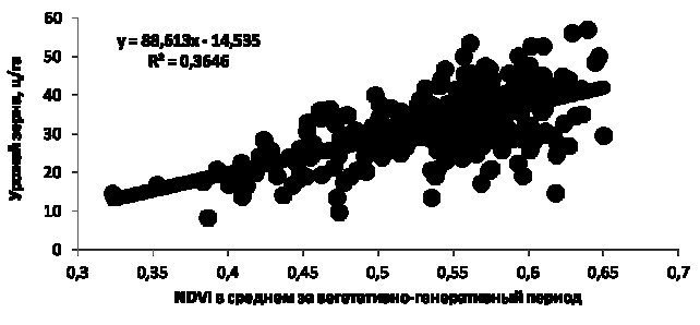
Нами была построена регрессионная модель зависимости урожая зерна
озимой пшеницы от NDVI среднего за вегетативно-генеративный период (рис. 1).
Коэффициенты корреляции для каждого района варьирует от 0,51 (Андроповский
район) до 0,94 (Георгиевский район). Такой большой разброс данных и низкий
коэффициент аппроксимации регрессионной модели могут быть следствием влияния
почвенно-климатических условий выращивания озимой пшеницы (Н.Н.Куссуль с соавторами, 2012).

Рисунок
1 – Регрессионная модель урожайности озимой пшеницы для Ставропольского края (2003-2013гг.)
В Ставропольском крае по агроклиматическим
и почвенным условиям выделено четыре зоны (рис. 2): крайне-засушливая (I), засушливая (II), неустойчивого (III) и достаточного увлажнения (IV).
Крайне засушливая зона включает часть Туркменского района, Апанасенковский,
Арзгирский, Левокумский и Нефтекумский районы. В зоне преобладают каштановые,
светло-каштановые почвы и имеется большое количество песчаных массивов.
Среднегодовое количество осадков – 387-400 мм, сумма температур выше 100С
– 3720-37500С, гидротермический коэффициент Селянинова Г.Т. (1937)
(ГТК) – 0,63-0,72.

Рисунок 2 – Агроклиматические зоны Ставропольского
края
Засушливая зона располагается с северо-запада на юго-восток,
охватывает северные и восточные склоны Ставропольской возвышенности и
территорию, расположенную юго-восточнее реки Кумы. Зона включает Ипатовский,
западную часть Туркменского, Курский, Благодарненский, Буденновский, Советский,
Новоселицкий и Степновский районы. Среднегодовое количество осадков – 433-482
мм, сумма температур выше 100С – 3650-38000С, ГТК
0,72-0,81.
Зона неустойчивого увлажнения включает Азово-Кубанскую низменность, Ставропольскую
возвышенность и предгорные равнины с тринадцатью административными районами:
Петровский, Александровский, Новоалександровский, Красногвардейский,
Изобильненский, Труновский, Грачевский, Шпаковский, Кочубеевский, Андроповский,
Минераловодский, Георгиевский и Кировский. Среднегодовое количество осадков –
511-636 мм, ГТК 1,0-1, сумма температур выше 100С – 3300-36500С.
К зоне достаточного увлажнения
относится Предгорный район. Климатические условия зоны очень благоприятны: годовое
количество осадков составляет 665 мм, ГТК варьирует от 1,1 до 1,8, сумма
температур выше 100С – 25700С.
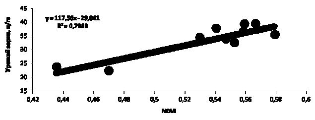
Нами были рассчитаны модели зависимости
урожая зерна озимой пшеницы от NDVI для каждой
почвенно-климатической зоны Ставропольского края (рис.3).
|
|
|
|
|
|
Рисунок
2 – Регрессионные модели зависимости урожая зерна озимой пшеницы от NDVI по почвенно-климатическим зонам Ставропольского края
(2003-2013гг)
Распространение расчетов на такие
административные единицы повышают точность регрессии. Коэффициенты корреляции
для I, II, III и IV зон в этом
случае определяются величинами 0,85, 0,90, 0,79 и 0,96 соответственно, при этом
значения коэффициенты аппроксимации равны 0,72, 0,81, 0,62 и 0,92. При построении модели для Ставропольского края,
по данным, усредненным по почвенно-климатическим зонам края, нами была получена
следующая регрессионная зависимость: Урожайзерна
= 117,6·NDVI - 29,04 (рис. 3).

Рисунок 3 – Регрессионная модель зависимости урожая зерна озимой пшеницы от NDVI для Ставропольского края (2003-2013гг.)
Рассчитанная таким образом модель обладает
достаточно высокими характеристиками точности (R2=0,80).
Таким образом, построение регрессионных
моделей зависимости урожая зерна озимой пшеницы от NDVI по данным территорий, относящихся к определенной
почвенно-климатической зоне края, значительно улучшает их характеристики по
сравнению с данными взятыми по каждому району.
Литература:
1.
Becker-Reshef I. A generalized regression-based model for forecasting winter wheat yields
in Kansas and Ukraine using MODIS data / I.Becker-Reshef, E.Vermote, M.Lindeman, С.Justice // Remote Sensing of Environment. ‒ 2010.
‒ 114(6). ‒ P.
1312-1323.
2.
Chipanshi A.C. Large-scale simulation of wheat yields in a semi-arid environment using
a crop-growth model / A.C.Chipanshi, E.A.Ripley, R.G.Lawford// Agricultural Systems. ‒ 1999.
‒ 59. ‒ P. 57-66.
3. Doraiswamy P.C. Spring wheat yield assessment using NOAA
AVHRR data / P.C.Doraiswamy, P.W.Cook// Canadian Journal of Remote Sensing.
‒ 1995. ‒ 21. ‒P. 43-51.
4.
Manjunath K.R. Large area operational wheat yield model development and validation
based on spectral and meteorological data / K.R.Manjunath, M.B.Potdar, N.L.Purohit // International Journal of Remote Sensing.
‒ 2002. ‒ 23. ‒ P.
3023-3038.
5.
Maselli F. Analysis of GAC NDVI data for cropland identification and yield
forecasting in Mediterranean African countries / F.Maselli, F.Rembold// Photogrammetric Engineering and Remote
Sensing. ‒ 2001. ‒ 67. ‒ P.
593-602.
6.
Prasad A.K. Crop yield estimation model for Iowa using remote sensing and surface
parameters / A.K.Prasad, L.Chai, R.P.Singh, M.Kafatos// International Journal of Applied Earth
Observation and Geoinformation. ‒ 2006. ‒ 8. ‒ P. 26-33.
7.
Wall L. The early explanatory power of NDVI in crop yield modeling / L.Wall, D.Larocque,
P.M.Leger //
International Journal of Remote Sensing. ‒ 2007. ‒ 29. ‒ P. 2211-2225.
8.
Куссуль Н.Н. Регрессионные
модели оценки урожайности сельскохозяйственных культур по данным MODIS / Н.Н.Куссуль, А.Н.Кравченко,
СВ.Скакун, Т.И.Адаменко, А.Ю.Шелестов, А.В.Колотий, Ю.А.Грипич // Современные проблемы дистанционного зондирования Земли
из космоса. ‒ 2012. ‒ Т.9. ‒ № 1. ‒ С. 95-107
9.
Селянинов Г.Т. Методика
сельскохозяйственной характеристики климата // Мировой агроклиматический
справочник. - Л.: Гидрометеоиздат, 1937. - С. 5-27.