Технические науки /3. Отраслевое машиностроение
Асп. Борисова М.С., д.т.н. Гусаров А.В., асп. Павлов М.А.
Московский
государственный университет дизайна и технологии, Россия
Администратор
магазина Мурсалимов Э.Н.
ООО «Свотч
Груп (РУС)», Россия
Разработка электронного справочника
для определения масс инерционных характеристик сложных тел
Перевод бумажных архивов в электронную
форму интенсивно идет во всем мире. Стремление повысить качество,
эффективность, а также увеличить результат труда является двигателем прогресса
для новых разработок во всех отраслях промышленности.
Перед инженерами, проектирующими различные
механические системы (механизмы, машины, самолеты, космические корабли и др.)
возникают задачи, для решения которых необходимо иметь точные сведения о
распределении массы в конструируемой механической системе. К таким задачам
относятся уравновешивание роторов, уравновешивание машин на фундаменте,
определение статической устойчивости и устойчивости движения, управление
летательными аппаратами, их ориентировка в пространстве, стабилизация на
траектории и др. [1].
Современные машины, механизмы, корабли и
прочие механические системы состоят из большого количества частей (деталей),
имеющих обычно сложную форму. За счет этого процесс вычисления моментов инерции
сложных тел почти трафаретный, очень кропотливый и требует от вычислителя
большого внимания и аккуратности.
Весь процесс расчета обычно происходит в
бумажной форме и занимает огромное количество времени, что существенно вредит
достижению быстрого и качественного результата работы конструктора.
Таким образом, целесообразно было бы
создать некую единую программу (электронный справочник), в которой находились
бы все вышеперечисленные этапы конструирования, и существовал бы поиск по
определенным критериям, для облегчения процесса расчета.
Предлагаем рассмотреть модель построения
такого справочника на типовом примере детали из состава швейной машины 1022-М
класса [2]. Деталь показана на рисунке 1.


Рисунок 1. Балка
Произведем расчет для масс инерционных
характеристик элемента шара (Рисунок 2).

Рисунок 2.
Элемент шара
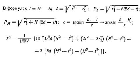
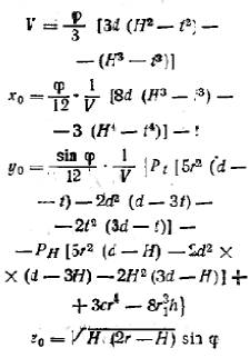
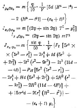
Таблица 1.
Расчет масс инерционных характеристик для элементов шара
|
Объем, координаты центра масс |
Моменты инерции относительно центральных плоскостей (вспомогательные величины). Главные
центральные моменты инерции |
|
|
|
|
|
|
Выводы: На примере данной детали возможно создание полной базы
элементов всех сложных тел и формул для вычисления масс инерционных
характеристик в одном обобщенном электронном справочнике, с помощью которого конструктор
с легкостью сможет задавать параметры деталей и достаточно быстро получать
точный расчет со всеми интересующими его показателями.
ЛИТЕРАТУРА:
1.
Фаворин М.В. Моменты инерции тел [Текст]: Справочник. ─ М.: «Машиностроение»,
1977.
2.
Артоболевский И. И., Левитский Н. И. Теория машин и механизмов [Текст]: учебник
для вузов. ― М.: Наука, 1988.