К.т.н. Глухов
В.С., к.т.н. Хрянина О.В.
Пензенский
государственный университет архитектуры и строительства, Россия
ВЛИЯНИЕ МОРОЗНОГО ПУЧЕНИЯ НА ПОЛЫ ЗДАНИЯ
Пучинистыми (морозоопасными) грунтами
называются такие грунты, которые при промерзании обладают свойством
увеличиваться в объеме. Изменение объема грунта проявляется в природных
условиях в неравномерном поднятии при промерзании и опускании при оттаивании
дневной поверхности грунта. Интенсивность процесса морозного пучения зависит от
состава, дисперсности и плотности грунта, осенней влажности и глубины залегания
подземных вод, температурного режима в период промерзания и нагрузки,
передаваемой на фундамент.
При строительстве зданий с устройством
полов по грунту на стадии проектирования и строительства при наличии
морозоопасных грунтов должен быть предусмотрен комплекс мероприятий по
уменьшению деформаций основания и предотвращению возможности повреждения
конструкций полов. Это достигается путем изменения свойств грунтов основания и
недопущением их ухудшения в дальнейшем, а также использованием комплекса
строительно-конструктивных, инженерно-мелиоративных и физико-химических
мероприятий.
Одним из путей снижения вредного влияния
морозного пучения грунта на полы здания является устройство грунтовой подушки
из непучинистых материалов (песок крупный или средней крупности, мелкий щебень,
котельный шлак и т.п.).
В настоящей работе авторами выполнен
анализ влияния толщины песчаной подушки на величину деформации морозного
пучения для супесей, суглинков и глин. Расчеты по определению деформаций
пучения выполнялись по формуле
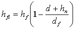
, м,
где hf – величина
морозного пучения (подъем), м;
hп –
толщина песчаной подушки, м;
d –
глубина заложения фундамента, м;
df – глубина сезонного промерзания, м.
Расчеты выполнены для супесей с числом
пластичности Jр = 3 %, для суглинков – с Jр =12 % и
глин с Jp = 20 %. При этом толщина песчаной подушки изменялась в
диапазоне от 0,6 до 1,3 м. Результаты расчетов показаны в виде графиков (см.
рис.1).

Рис. 1. График зависимости
деформации морозного пучения hfi
от толщины подушки hп
Как видно из графика наибольшее влияние
толщина подушки оказывает на деформации пучения глины.
При ограничении предельно допустимого
вертикального перемещения для зданий величиной Su = 40 мм практически не требуется устройство буферного
слоя из песка в условиях, когда основанием служит супесь.
Таким образом, если полы располагаются на
слое суглинка, то при тех же допустимых перемещениях от сил морозного пучения
толщина песчаной подушки рекомендуется в пределах 1,2 м. Для глин указанная
толщина должна быть не менее 1,4 м. В наибольшей степени величина деформации
пучения зависит от толщины непучинистого буферного слоя при наличии в основании
глин. Так, при уменьшении песчаной подушки от 1,4 м до 0,6 м величина пучения hfi увеличивается от 40 до 300 мм, т.е. в 7,5 раз. В
меньшей степени деформации пучения проявляется в суглинках. Так, при изменении
толщины песчаной подушки от 0,6 м до 1,2 м деформация пучения уменьшается от 140
до 40 мм, т.е. в 3 раза.
Расчеты показывают, что с экономической
точки зрения устройство буферного слоя из непучинистых материалов при наличии
слоя глины нецелесообразно. Когда основанием фундаментов служат суглинки, то в
зависимости от глубины сезонного промерзания рекомендуемая толщина непучинистой
прослойки должна быть в пределах 1,0¸1,3 м и
применение последней должно быть обосновано экономическими расчетами.
В целом технико-экономические расчеты
показывают, что при требуемой толщине подушки hп превышающей
0,6 ÷ 0,8 м экономически не выгодно вести работы по устройству полов при
отрицательных температурах, а также допускать промораживание грунта в период
эксплуатации объекта.
Литература
1. СП
50-101-2004. Проектирование и устройство оснований и фундаментов зданий и
сооружений. М., 2005.