к.т.н. Крючин О.В.
Тамбовский государственный
университет им. Г.Р. Державина, Россия
Аналитическая
модель параллельных информационных процессов обучения искусственных нейронных
сетей использующих градиентные методы
Как
показано в работах [1-3], при параллельной реализации градиентных методов
обучения искусственных нейронных сетей (ИНС) алгоритм на управляющем элементе
информационного ресурса (ИР-элементе) следующий: 1) формирование структуры ИНС
(включая инициализацию весовых коэффициентов начальными значениями); 2) передача
структуры ИНС на все используемые ИР-элементы; вычисление весов
; 3) получение
с ненулевых
ИР-элементов; 4) формирование вектора
и вычисление
значения невязки
; проверка необходимости остановки; 5) отправка команды
остановки на все неведущие ИР-элементы; 6) если обучение не закончено, то
отправка весовых коэффициентов
на все
ИР-элементы и переход к пункту 3.
Ненулевые ИР-элементы используют другой порядок
выполнения информационного процесса: 1) получение структуры ИНС с ведущего
ИР-элемента; 2) вычисление значений элементов вектора
; 3) отправка вектора
на ведущий
ИР-элемент; 4) получение команды окончания обучения; 5) если обучение не
окончено, то получение полного вектора весовых коэффициентов
и переход к
пункту 2 [3].
Исходя из того, что для вычисления одного
элемента градиента требуется (
) мультипликативная и (
) аддитивных операций (где
,
— число мультипликативных
и аддитивных операций, необходимых для вычисления значения невязки) [1-3],
можно вывести, что для одной итерации градиентных методов, требуется количество
операций, равное приведенному в табл. 1.
Таблица 1. К-во операций одной итерации градиентных методов.
|
Метод |
мультипликативных |
аддитивных |
|
Наискорейшего спуска |
|
|
|
QuickProp |
|
|
|
RPROP |
|
|
Каждая параллельная итерация информационного
процесса состоит из нескольких этапов: 1) рассылка ведущим ИР-элементом вектора
весовых коэффициентов
; 2) вычисление элементов своей части градиента и весовых
коэффициентов; 3) передача на ведущий ИР-элемент новых значений весовых коэффициентов
[1].
Первый этап
требует у ведущего ИР-элемента (
мультипликативных и
аддитивных операций,
а у
-го неведущего (
) — соответственно
(
для передачи данных,
для ожидания
передачи). Количества операций, необходимых для второго этапа приведены в табл.
1. Что касается третьего этапа (
и (
)), то неведущий ИР-элемент производит
мультипликативных и
аддитивных операций,
а ведущий — соответственно
(
операций приема и
операций ожидания) и
.
Таблица 2. К-во операций на втором этапе параллельной
итерации информационного процесса обучения.
|
Метод |
мульт.
на ведущем |
адд.
на ведущем |
мульт.
на неведущем |
адд.
неведущем |
|
Наискор. спуска |
|
|
|
|
|
QuickProp |
|
|
|
|
|
RPROP |
|
|
|
|
Поскольку первый этап требует
операций на ведущем
ИР-элементе и
на, второй —
и
, а третий на неведущем
то перед началом
приема ведущий ИР-элемент должен ожидать
операций.
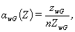
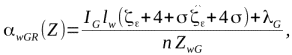
Таким образом, параллельный информационный
процесс обучения совершает
операций, а
эффективность параллельных информационных процессов, использующих градиентные
алгоритмы,
можно расписать как
для метода наискорейшего
спуска и
для RPROP
|
|
(5) |
(информационный
процесс выполняет
раз по
операций
параллельного алгоритма —
операций выполняется
последним шагом — и
прочих операций)
|
|
(6) |
|
|
|
(7) |
|
|
|
(81) |
|
где
— количество
итераций,
количество прочих
операций алгоритма.
Список литературы
1.
Крючин О.В. Разработка параллельных градиентных
алгоритмов обучения искусственной нейронной сети // Электронный журнал
"Исследовано в России", 096, стр. 1208-1221, 2009 г. // Режим доступа:
http://zhurnal.ape.relarn.ru/articles/2009/096.pdf
Загл. с экрана.
2.
Крючин,
О.В. Разработка параллельных эвристических алгоритмов подбора весовых
коэффициентов искусственной нейронной сети / О.В. Крючин // Информатика и ее
применение. — 2010. — Т. 4, Вып. 2. — C. 53-56.
3. Крючин, О.В. Параллельные
алгоритмы обучения искусственных нейронных сетей / О.В. Крючин //
Информационные технологии и математическое моделирование (ИТММ-2009) : матер.
VIII Всерос. науч.-практ. конф. с междунар. участием, 12-13 ноября 2009 года. — Томск:, 2009. — Ч. 2. — С. 241-244.