ВПЛИВ ТЕРМОЦИКЛЮВАННЯ НА
СТРУКТУРНІ ЗМІНИ МАТЕРІАЛІВ НА ОСНОВІ АЛЮМІНІЮ І МІДІ
Відомо, що термоциклічна обробка (ТЦО)
металів і сплавів суттєво змінює структурні і фазові перетворення, які залежать
від природи матеріалу, градієнта температури, швидкості її зміни, кількості
термоциклів, наявності або відсутності зовнішнього навантаження, тощо. При
цьому спостерігається зміна форми і розмірів зразків, подрібнення зерна сплаву,
структурних складових тощо, що викликає зміну багатьох фізико-механічних
властивостей матеріалу [1-3].Тому метою роботи було дослідження впливу різних
параметрів термоциклювання на фізико – механічні властивості конструкційних
матеріалів на основі алюмінію і міді.
Досліджувались сплави берилієва бронза БрБ2
і алюмінієві сплави(Al-1,2,4%Cu, Al-1%Zn). ТЦО проводилось в межах 780
20°С і 315
20°С(БрБ2), 150
20°С(алюмінієві сплави), а швидкість нагріву і охолодження витримувалась на
рівні 50 К•с-1 і 5-2 К•с-1 відповідно. Основними методами дослідження
структури сплавів використовували,
рентгеноструктурний аналіз і внутрішнє тертя
(ВТ).
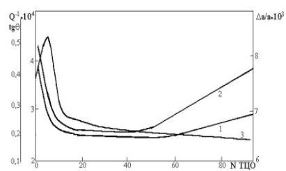
Дослідження показали,
що в результатi дiї 5-10 ТЦО фон ВТ при 315oC зменшується на 75%(рис.1). Головна частина зменшення фону випадає на перших 5
ТЦО.При цьому зростає i ефективний модуль зсуву f2(квадрат частоти)(рис.2). Головна доля його збiльшення припадає на першi 5
ТЦО. Незначнi змiни фону ВТ проходять i при кiмнатнiй температурi на початкових
стадiях термоциклювання. Це свiдчить про видiлення дисперсної фази, яка
обумовлює змiцнення бронзи в процесi ТЦО. Збільшення модуля зсуву та
критичних амплітуд деформації АЗВТ і
зменшення tgQ (рис.1.) на протязі перших термоциклів
вказує на зміцнення матеріалу.
На рисунку 1, i в таблицi 1, наведенi
пiдсумковi результати дослiджень АЗВТ і рентгеноструктурного аналізу сплаву БрБ2. Як слiдує iз рис.1, кр.1, фон ВТ на початку ТЦО зменшується. Потiм пiсля 5 ТЦО величина
фону стабiлiзується i залишається незмiнною до 40-50 ТЦО.
Наступне збiльшення
числа термоциклiв зумовлює повiльний рiст величини фону ВТ. Початковий спад
величини фону добре корелює iз зменшенням величини внутрiшнiх мiкронапружень
Δa/a (рис.2,кр.2), оцiнених з
допомогою рентгенограми по лiнiї 50o. Однак при вищих амплiтудах деформацiї величина ВТ
зростає iз збiльшенням кiлькостi термоциклiв, особливо чiтко це проявляється
після 20-30 ТЦО. В хорошiй вiдповiдностi з даними мiкронапружень i
поведiнкою фону знаходяться результати тангенса кута нахилу АЗВТ (рис.1.кр.3). Тобто, початкова
стадiя розпаду пересиченого твердого розчину, яка полягає у вiдходi домiшкових
атомiв iз твердого розчину в початковi видiлення, зумовлюють збiльшення
тангенса кута нахилу.
Таблиця 1
Параметри АЗВТ і дислокаційної структури БрБ2
|
N, ТЦО |
γкр.1×105 |
γкр.2×105 |
Ln×106, м |
Lс×108, м |
L×10-12, м-2 |
|
0 1 5 10 20 40 50 |
4 4 10 12 20 15 18 |
14 15 26 36 54 50 48 |
2.00 1.90 1.10 0.80 0.50 0.56 0.48 |
2.90 3.10 3.30 4.40 5.00 9.70 2.70 |
1.30 1.30 2.20 5.40 15.0 56.0 64.0 |
Очевидно, ТЦО робить суттєвий вплив на кiнетику видiлення змiцнюючої дисперсної фази,
оскільки воно викликає накопичення дефектiв кристалiчної структури (в даному випадку
дислокацій). Так, щільність дислокацiй в
процесi ТЦО зростає, особливо пiсля 20 ТЦО. Початковий етап ТЦО викликає також
рiст величини першої i другої критичних амплiтуд деформацiї (див.табл.1). Пiдвищити ефективнiсть ТЦО i зменшити його
тривалiсть вдається за рахунок поєднання з iншими видами дiї, такими як
невелика пластична деформацiя, дiя ультразвуку, дiя статичних напруг тощо. Тому
пропонується здiйснити термоциклювання в полi зовнішніх напружень.

Рис.1. Залежність фону ВТ (1), внутрішніх мікронапружень
Δа/а (2)та tgΘ АЗВТ (3) від
кількості ТЦО в інтервалі температур 315
20 °С

Рис.2. Залежність модуля зсуву f2 від кількості термоциклів:
1 – Al-1%Cu; 2 – Al-2%Cu; 3 – Al-4%Cu; 4 – Al-1%Zn; 5- БрБ2; ТЦО в ПЗН: 6 – Al-1%Cu; 7 – Al-4%Cu.
Таким чином в результаті термоциклічної обробки
матеріалів збільшується густина дисперсної фази, яка чинить опір руху
дислокацій, що і призводить до збільшення опору малим пластичним деформаціям, і
ступінь зміцнення відповідно підвищується. Характер зміни коефіцієнта теплопровідності
в залежності від температури вказує на підвищення жароміцністних і термопружних
властивостей конструкційних матеріалів на основі алюмінію і міді[4].
Література
1.
Баранов
А.А. Влияние механотермоциклической обработки на структуру и свойства мдетуритных
сталей / А.А.Баранов, В.Ю. Слюсарев, С.И. Марчук // Термоциклическая обработка
деталей машин.- Л.: Машиностроение, 1982.
2.
Федюкин В.К. Термоциклическая обработка деталей и машин/
В.К .Федюкин , М.Е. Смагоринский . –
Ленинград: Машиностроение, 1989 – 245с.
3.
Пастухова Ж.П. Пружинные сплавы цветных металлов/ Ж.П.Пастухова,
А.Г.Рахштадт. – М.: Металургия, 1984. –
284с.
4.
Білюк А.І. Еволюція механічних, теплових характеристик і параметрів
субструктури берилієвої бронзи після термоциклювання /[Білюк А.І., Білюк А.А.,
Батуєв О.О., Чехівська Ю.С. ].-Praha: Publishing House «Education and Science»s.r.o., 2012.-88с.
Методами механічної спектроскопії
та рентгеноструктурного аналізу досліджено структурні зміни, які проходять в
берилієвій бронзі і в алюмінієвих
сплавах після термоциклічної обробки в полі зовнішніх напружень.
Ключові слова:
термоциклювання, внутрішнє тертя, дислокації,
модуль зсуву.