Білюк
А.І., Думенко В.П., Черевчук
Ю.О., Балухата Л.О.
Вінницький державний педагогічний університет, Україна
За
допомогою методу внутрішнього тертя
досліджено вплив термоциклічних обробок на субструктуру алюмінію та
алюмінієвих сплавів АД1 і Al-4%Cu-5%Zn .
Перехід
матеріалів із метастабільного у більш термодинамічно рівноважний стан зумовлює
прояв на температурних і амплітудних залежностях внутрішнього тертя ряду
непружних ефектів. В алюмінії та його дисперсійно-твердіючих сплавах у процесі
формування і стабілізації зміцнюючої субструктури на температурній залежності
внутрішнього тертя проявляються три непружні ефекти[1], обумовлені: взаємодією
дислокацій у стінках з точковими дефектами, які дифундують субграницями А
(220°С); неконсервативним рухом дислокацій у стінках В (265°С) і взаємодією
окремих дислокацій та їх скупчень всередині полігонів з дислокаціями у
малокутових границях С (300°С).
Методи
формування зміцнюючої субструктури в алюмінії та його сплавах різні. У чистому
алюмінії сформувати субструктуру вдається шляхом механіко-термічної обробки. Наприклад, за допомогою деформації
на 10% при кімнатній температурі з наступним тривалим відпалом при 450°С
(рис.1, крива 1). Проте застосування такої обробки до технічного алюмінію АД1 не зумовлює формування
субструктури (рис.1, крива 2). Атоми міді й цинку, а також комплекси домішок,
що містяться у технічному алюмінії, утруднюють формування й еволюцію
субструктури. Субструктуру можна сформувати, підвищивши температуру до 630°С і
збільшивши тривалість полігонізаційного відпалу у 16-32 рази.
Отже,
дислокації заблоковані домішковими атомами і тільки тривалий відпал при
підвищених температурах приводить до їхнього перерозподіл у субграниці. Методом
МТО неможливо сформувати субструктуру в
дисперсійно-твердіючих сплавах, де дислокації заблоковані домішковими атомами,
зонами Гінье-Престона та дисперсними фазами.
Формування
субструктури в таких матеріалах вдається здійснити шляхом багаторазового
термоциклювання (рис.1,крива 3), а особливо термоциклюванням у полях зовнішніх напружень. Так
термоциклювання сплаву Al-4%Cu-5%Zn впродовж 35 разів обумовлює формування
субструктури з найкращим проявленням ефекту С (рис.2). Ще кращого ефекту
вдається досягнути приклавши при термоциклюванні до зразка розтягуючі
навантаження 0,2σ0,2.
Субструктурні
ефекти при цьому проявляються при удвічі меншій кількості термоциклів.

Рис.1. Температурна залежність внутрішнього тертя алюмінію після деформації
розтягу на 10% при 20°С і 32 годин відпалу при 450°С (1), АД1 після розтягу на 10% при 20°С і 32
годин відпалу при 450°С (2), АД1 після 36 термоциклів в інтервалі температур
500-20°С (3).

Рис.2. Температурна залежність
внутрішнього тертя сплаву Al-4%Cu-5%Zn за вирахуванням фону після 35
термоциклів від 500 до 20°С (1), після 16 термоциклів від 500 до 20°С під
навантаженням 0,2σ0,2 (2)
З метою підтвердження фізичної природи виявлених ефектів був
проведений розрахунок температури проявлення ефекту обумовленого переповзанням
дислокацій на підставі теорії високотемпературної релаксації дислокацій у
субграницях. Час релаксації такого процесу визначається співвідношенням:
(1)
де η – ефективний коефіцієнт в'язкості, χ – квазіпружний
коефіцієнт, що дорівнює:
(2)
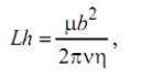
де µ – модуль зсуву, b –
вектор Бюргерса, L – віддаль між стінками, h – середня відстань між
дислокаціями у стінках.
Звідки
отримуємо:
(3)
де ν – частота коливань.
Розраховане
значення Lh=6⋅10-9 см2 добре узгоджується з отриманими на підставі
рентгенографічних і металографічних досліджень значеннями L=10-3 см, h=10-6
см.
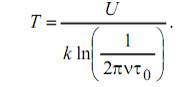
При відомих L і h можливо розрахувати множник τ0 [1] при 265°С.
(4)
Якщо D0=1,7 см2/с, Ω=10-23
см3 і lg(h/(2 πr0))=5, то отримаємо τ0=1,4·10-11
с. Із умови отримання
максимуму внутрішнього тертя ωτ=1, де τ=τ0exp(U(kT) знаходимо
вираз для визначення температури проявлення ефекту,
обумовленого переповзанням дислокацій:
(5)
На підставі
цієї формули отримуємо, що температура
проявлення релаксаційного ефекту,
обумовленого переповзанням дислокацій
у субграницях знаходиться в
районі 260-280°С. Це добре співпадає з температурою проявлення ефекту В і
підтверджує його фізичну природу.
Література
1. Зузяк П.М.
Прогрессивные технологии формирования субструктуры в дисперсионно-твердеющих
сплавах на основе алюминия./ Зузяк П.М., Билюк А.И., Ходак В.И. /Приложение к
Всеукраинскому научно-техническому журналу «Вибрации в технике и технологиях» /
Сборник трудов Международной научно-технической конференции «Приборостроение
-97». - ч. 1. -1997. - С. 200-203.