P.h.D. Kryuchin O.V.
Tambov State University named after G.R. Derzhavin
Artificial neural networks, computer clusters and the universal
simulator
Now artificial neural networks (ANN) are used in
different branches of science. Especially it occurs in such science as
psychology, sociology and economics. The reason of it is the hardship of the objects
simulation in this sphere because these objects cannot be defined by this
province rules. But the ANN usage needs the long time expense because neural
network models have the large structure and many parameters. One of this
problem solutions is the parallel algorithms and the computer clusters usage [1-2].
The aim of this work is to analyse products of ANN
sphere, to develop parallel algorithms of ANN training, and to develop the
information system with parallel algorithms of ANN.
Now there are not real neural networks simulator for
computer clusters. There are simulators for PC (JavaNNS, NeuroShell, NNC,
Mathlab neural network tools and etc.) but they can't be executed on computer
clusters. There are tools for computer clusters (T-System and etc.) but they
don't consider specific of the neural network simulation. And there are
hardware solutions (Nimfa and etc.). So there are not products which
synthesizes the artificial neural network technology and the parallel
algorithms technology [1, 3].
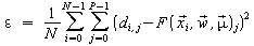
The main task of the neural network training is the
target function (1) minimization. It consists of three levels. These are the
structure training level, the level of the neurons activation functions
training and the level of the weight coefficients training. The pic. 1 shows the
general algorithm of the artificial neural network training.
, (1)
where
is the input pattern row,
is the output pattern row,
is the ANN output value calculation function,
is the weight coefficients vector,
is the activation functions vector,
is pattern row number and
is the ANN output neurons number.

Pic. 1. The scheme of training of artificial neural network.
It is possibly to develop the parallel algorithm of
the training on each level. And it is possible to develop the parallel training
on the level of the target function value calculation.
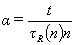
If serial the
training algorithm elapses
hours then ideal parallel algorithm time
expense is
calculated by formula
, (2)
where
is the processors number.
But it is impossible because the synergetic effect is able in
particular occurrences only. So real time expense of the parallel training is
calculated by formula
. (3)
Here
is the time expense for prepare and sending
data.
So the efficiency
coefficient may be calculated by formula
, (4)
where
,
are time expense of serial and parallel
algorithms and
is the processors number.
The processors count increase
involves to the training speedup. But after several moment time expenses begin
to rise. The reason of it is the large time expenses for transfer data from one
processors to other. So there is the optimal count of processors for each task.
This count dependences of calculation waiting expense (blue series in pic. 2)
and expense of computer cluster using (black series in pic. 4). The red series
in pic. 2 shows total expense.

Pic. 2.
Dependence of expense from processors count.

Pic. 3.
Information system architecture.
So this paper
brings together the technology of artificial neural networks and the technology
of parallel algorithms. Aning information system with parallel algorithms of the
ANN training was developed.
Literature
1. Крючин О.В.,
Арзамасцев А.А, Королев А.Н., Горбачев С.И., Семенов Н.О. Универсальный
симулятор, базирующийся на технологии искусственных нейронных сетей, способный
работать на параллельных машинах. // Вестн. Тамб. ун-та. Сер. Естеств. и техн.
науки. – Тамбов, 2008, Т. 13. Вып. 5. С.
372 – 375.
2. Kryuchin O.V., Arzamastsev A.A., Troitzsch K.G. A universal simulator
based on artificial neural networks for computer clusters [Электронный ресурс] — Электрон. дан. //
Arbeitsberichte aus dem Fachbereich Informatik Nr. 2/2011. Koblenz. 2011. 13 p. — http://www.uni-koblenz.de/~fb4reports/2011/2011_02_Arbeitsberichte.pdf
3.
Крючин О.В., Козадаев А.С., Аразамасцев А.А. Обзор нейросимуляторов для
персональных компьютеров и кластерных систем // Материалы XVII общероссийской научной конференции «Державинские чтения» // Вестник
Тамбовского Университета, Серия: Естественные и технические науки, - Т. 17,
Вып. 1, 2012 - С. 168-172.