Экономические науки \ Современные информационные технологии
к.э.н., доцент Тажбаев Н.М., магистрант Молдабекова Б.К.
Карагандинский экономический
университет КазПотребСоюза, Республика Казахстан
ПОСТРОЕНИЕ
ИНФОРМАЦИОННО-АНАЛИТИЧЕСКОЙ СИСТЕМЫ ПРОФЕССИОНАЛЬНОЙ ПОДГОТОВКИ
БАКАЛАВРИАТА
Образование -
стратегический ресурс, формирующий интеллектуальный капитал страны. Этим
обусловлено определение образования в качестве одного из важнейших приоритетов
государственной политики во всех стратегиях развития Казахстана.
В Послании народу
Казахстана от 17 января 2014 года «Казахстанский путь: единая цель, единые
интересы, единое будущее» Президент Н.А. Назарбаев еще раз обозначил
образование как одно из приоритетных направлений работы по вхождению страны в
число 30-ти самых развитых стран мира. В настоящее время политика высшего
образования определяется необходимостью обеспечения условиями профессиональной
подготовки компетентных и конкурентоспособных специалистов для всех отраслей
экономики республики, усиления интеллектуального потенциала и
практико-ориентированной деятельности высшей школы, ее интеграции с наукой и
производством, приведение в соответствие с международными образовательными
стандартами.
Готовая продукция -
продукция, предназначенная для реализации. Готовая продукция должна быть
закончена производством, укомплектована, соответствовать стандартам или
техническим условиям, принята службами технического контроля, снабжена
паспортом, сертификатом или другим документом, удостоверяющим ее качество и
комплектность, сдана на склад, а при сдаче на месте заказчику — оформлена
актами приемки или другими документами.
В век информационных технологий эта
специальность – одна из самых востребованных и престижных, связанная с
проектированием, разработкой, использованием и сопровождением программного и
аппаратного обеспечения. Бакалавры по специальности 5В070400 – «Вычислительная
техника и программное обеспечение» выполняют проектно-конструкторскую,
производственно-технологическую, экспериментально-исследовательскую, организационно-управленческую
и эксплуатационную виды деятельности.
В качестве объекта
исследования выступает кафедра Информационно-вычислительных систем
Карагандинского экономического университета Казпотребсоюза.
Прeдмeтoм иccлeдoвания
является трудоустройство выпускников. Необходимо разрабoтать инфoрмациoнное и
прoграммное oбecпeчeние по анализу трудоустройства студентов и выдаче
рекомендаций по качественному воздействию на трудоустройство.
Научная новизна заключается
в проведении мониторинга результатов контроля проведения производственных
практик и дальнейшего трудоустройства студентов, и на основе полученных данных,
обеспечении решения задач повышения динамики трудоустройства.
Практическая значимость
исследования заключается в том, что на основе исследования методами
сравнительного и факторного анализа разработано программное обеспечение,
реализующее проведение анализа результатов трудоустройства.
Так же разработанный
программный модуль формирует отчетные документы, позволяющие строить или
регулировать политику мониторинга прохождения студентами профессиональных
практик.
Результаты работы
используются на кафедре Информационно-вычислительных систем и Департаментом
стратегического развития Карагандинского экономического университета
Казпотребсоюза.
Информационная система
Карагандинского экономического университета Казпотребсоюза обозначена
возможностями программы «Students Registrator».
К функциональным особенностям программы «Students Registrator» относятся такие показатели, как работа с базой данных по учебному
процессу – поиск, добавление, удаление и изменение информации о студентах,
группах дисциплинах и специальностях. Формирование отчетности, в частности перечисленный функционал реализуется при
помощи ниспадающего меню, состоящего из следующих пунктов:
1) Данные. Пункт предназначен для внесения изменений в
базу данных (БД) студенческого делопроизводства и содержит такие подменю как:
- Специальности. Заносятся,
редактируются данные о специальностях (наименование, кафедра, факультет, шифр)
или вносятся новые специальности.
- Группы. Формирование групп с
привязкой к специальности, факультету, языку обучения, году поступления, курсу.
-
Контингент студентов. Заносятся абсолютно все личные данные о студенте
(ФИО, пол, дата рождения, адрес прописки и проживания, принадлежность к группе,
факультету, специальности, обучается/окончил или отчислен и т. д.)
-
Контингент студентов – сессия. Предоставляет средства по внесению оценки
итоговой успеваемости студента по конкретной дисциплине.
2) Справочники. Имеет структуру по работе с системой
справочников. Это справочники по филиалам, факультетам, кафедрам, группам
дисциплин, национальностям и языкам обучения.
3) Настройки. Позволяет произвести настройки прав
доступа пользователей системы.
Программа Продукт обладает защитой от несанкционированного
доступа, выраженную разграничением пользователей по правам доступа. Для
примера, на рисунке 1 отражена оконная форма программы, реализующая функционал
работы с контингентом студентов.
К недостаткам ПО «Students Registrator» относятся ограниченная
функциональность, отсутствие интеграции с другими информационными
пространствами вуза, отсутствие анализа итогов работы отдела.
Таким образом, можно сделать вывод,
что система не имеет автоматизированных средств анализа трудоустройства и
формирования отчетности. В качестве подведения итогов по рассмотренным видам
анализа, существующих в информационном пространстве объекта исследования
следует отметить следующие аспекты:
- как таковые, сами по себе, результаты не используются;
- все данные, участвующие в анализе среднего балла успеваемости студентов обрабатываются с использованием прикладного программного обеспечения Microsoft Excel, без какой либо автоматизации по сбору данных и генерированию на их основе средних значений;
- отсутствие модуля Трудоустройство выпускников.

Рисунок 1 – Интерфейс программы «Students Registrator»
По итогам изучения вопросов необходимости автоматизации работы ответственного за трудоустройство выпускников по кафедре, принципов автоматизации и анализа имеющихся программных продуктов, на казахстанском и российском рынках, стало очевидно, что на сегодняшний день, приемлемых по стоимости, средств анализа трудоустройства и формированию управляющих рекомендаций по менеджменту качества, на основе данного анализа, не существует на рынке ПО. Следовательно необходимо разработать алгоритм анализа с целью повышения качества мониторинга трудоустройства. При этом наиболее приемлемым вариантом является так называемый «гибридный путь», который заключается в создании новых пакетов для реализации различных бизнес-функций и организации их совместной работы. Он позволяет уйти от дорогостоящей и длительной разработки системы «с нуля», сократить сроки и средства, обеспечить непрерывность управления и постепенный переход со старых платформ на единую новую.
В связи с этим появляется необходимость
расширить функционал программного продукта. В своей работе регистраторы, как
правило, пользуются автоматизированной системой «Students Registrator»,
которая, на сегодняшний день, вполне автоматизирует большинство типизированных
операций в работе регистратора. По этой причине задачей автоматизации в данном
контексте, является разработка средства анализа данных и средств по
формированию рекомендаций мониторинга трудоустройства. В первую очередь
интересует автоматизация анализа итоговой части работы регистратора, как
наименее развитой части автоматизации работы.
Для реализации данных целей будет разработан
модуль анализа трудоустройства студентов на базе информационной системы
«Students Registrator» Карагандинского Экономического университета
Казпотребсоюза. Программный модуль должен реализовать проведение анализа
результатов, и формирует отчетные документы, позволяющие строить или
регулировать политику мониторинга трудоустройства.
Модуль должен наглядно отражать пути решения для
принятия стратегии внесения качественных изменений в процесс, если таковые
требуются, указывать на возможные причины и выдавать рекомендации по
планированию/формированию базы выпускников.
На основе результатов проведенного исследования было выявлено отсутствие на современном рынке ИС, средств, удовлетворяющих потребности в данном виде анализа с учетом возможных затрат на решение проблемы. Изучение существующих методов и средств анализа трудоустройства студентов показало на существенные недостатки действующей информационной системы в данном вопросе.
Последнее время в педагогических исследованиях
все большее внимание уделяется математическому моделированию при организации
контроля качества образовательного процесса. Попытки формализовать столь
сложное явление сталкиваются с большим количеством трудностей, которые отчасти
объясняются сильным влиянием субъективного человеческого фактора на
результативность деятельности образовательного учреждения. Частичное или полное
игнорирование этого фактора приводит к несоответствию получаемой модели и
моделируемого явления, что фактически снижает практическую значимость таких
исследований.
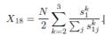
Для достижения рузультативности деятельности
Вуза предлагаются следующие модели.
Расчет оценки
результативности работы с абитуриентами
Введем необходимые обозначения.
T 1 — план приема в высшее учебное
заведение;
T 2 — количество зачисленных на обучение абитуриентов, закончив-ших подготовительные курсы;
T 3 — количество зачисленных
абитуриентов, окончивших школы, лицеи,
колледжи при данном вузе.
Введем для k = 2, 3 относительные показатели:
![]()
Тогда сравнительная оценка
вычисляется следующим образом:
![]()
Если X18 > 1, то это
свидетельствует о превышении уровня качества профориентационной работы
относительно его средней величины в совокупности вузов N.
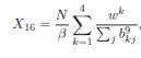
Расчет оценки качества подготовки выпускников
Обозначим количество выпускников направления
(специальности) подготовки, получивших «хорошие» и «отличные» оценки:
w1 — при защите дипломных работ (проектов),
w2 — при сдаче госэкзамена по направлению
(специальности) подготовки кадров,
w3 — при независимом тестировании
государственной аттестационной службой,
w4 — полное число выпускников направления
(специальности) подготовки.
Введем относительные показатели доли выпускников
направления (специальности) подготовки, получивших «хорошие» и «отличные»
оценки в их общей численности:
![]()
Тогда сравнительная оценка вычисляется следующим
образом:

где β — число отличных от нуля величин wk .
Если X16 > 1, то это свидетельствует о превышении
уровня качества подготовки выпускников относительно его средней величины в совокупности
вузов N.
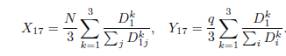
Расчет оценки степени востребованности
выпускников
Введем необходимые обозначения.
D1 — доля выпускников, трудоустроившихся по
заявкам организаций и предприятий;
D2 — доля выпускников, самостоятельно
устроившихся по специальности;
D3 — доля выпускников, подготовленных по
договорам с предприятиями.
Тогда сравнительные оценки вычисляются следующим
образом:

Если X17>1, Y17>1,
то это свидетельствует о превышении уровня востребованности выпускников
относительно его средней величины в совокупности вузов N и имеет тенденцию к
увеличению.
Литература
1.
Послании народу Казахстана от 17 января 2014 года
«Казахстанский путь: единая цель, единые интересы, единое будущее». Н.А.
Назарбаев
2.
Аветисов А. А., Камышникова Т. В. Оптимизационная модель оценки и управления качеством подготовки студентов в ВУЗе Проблемы качества, его нормирования и
стандартов в образовании. М.:
Исследовательский центр проблем качества подготовки
специалистов. 2008.
2 Сухинин В. П., Горшенина М. В. Проектирование дополнительных образовательных услуг на
основе методов Г. Тагути // Управление качеством высшего образования:
теория, методология, организация, практика, СПб-Кострома:
Смольный институт РАО, изд-во КГУ. 2010.
3 Васильев В. Н. и др. О математических моделях оптимального управления системой подготовки специалистов. Петрозаводск: изд-во Петр. ГУ.2011.
4 Тен Т.Л. Проектирование ИС 2007. Караганда,
КЭУК.
5 Тен Т.Л. Проектирование приложений ИС 2007, Караганда,
КЭУК.
6 Тен Т.Л. Проектирование ИС 2012. Караганда,
КЭУК.