Сучасні інформаційні технології/1.Компютерна  інженерія.

 

Шувалов В. Д., Дубовик Т. М.

Дніпропетровський хіміко-технологічний університет, Україна

Визначення оптимальної стратегії контролю технічного стану БЦВМ з резервом каналів за схемою «2 з 3-х»

 

Визначення оптимальної стратегії контролю технічного стану БЦВМ з резервом каналів. Інтенсивність відмов може бути обчислена як відношення числа об'єктів (апаратури, виробів, деталей, механізмів, пристроїв, вузлів тощо), що відмовили за одиницю часу до середнього числа об'єктів, що справно працювали у даному проміжку часу за умови, що об'єкти, які відмовили не відновлюються і не замінюються справними. Іншими словами, інтенсивність відмов чисельно дорівнює числу відмов за одиницю часу, віднесеному до середнього числа вузлів, що безвідмовно працювали до цього часу [1].

                       \lambda (t) = \frac {n(t)} {N_{cp} \Delta t} = \frac{n(t)}{ \left [N-n(t) \right ] \Delta t} = \frac {f(t)} {P(t)}                              (1)

де N — загальне число виробів, що розглядаються;

f(t) — частота відмов вузлів (деталей);

P(t) — імовірність безвідмовної роботи;

n(t) — число число зразків, що відмовили в інтервалі часу від t - (\Delta t/2) до t + (\Delta t/2);

·                   — інтервал часу;

·                    {N_{cp}} — середнє число зразків, що справно працювали в інтервалі  \Delta t :

                                                {N_{cp}} =  \frac {N_i + N_{i+1}} {2}                                      (2),

де N_i — число зразків, що справно працювали на початку інтервалу  \Delta t ;

N_{i+1} — число зразків, що справно працювали в кінці інтервалу  \Delta t .

Для умов роботи об’єкта коли середній параметр потоку відмов λ і середня тривалість відновлення μ залишаються сталими, показник безвідмовності ТО , та показник відновлення об’єкту TВ мають співвідношення:

                                        ,    ,                             (3)

Інтенсивність відмов  — умовна густина імовірності виникнення відмови об'єкта, яка визначається за умови, що до цього моменту відмова не виникла. Інтенсивність відмов є показником безвідмовності неремонтованих і невідновлюваних об'єктів [2].

Середня інтенсивність відмов — середнє значення інтенсивності відмов у заданому інтервалі часу.

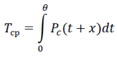
Для поканального контролю, при умові, що кількість каналів – 3, резерв – «2 з 3», середній час знаходження в робочому стані розраховується за формулою:

                                                                                , де                                   (4)

                           (5)

Інтервал часу між перевірками θ становить:

                                                                      ,                                                   (6)

де Т – загальний час експлуатації;

n – кількість перевірок;

τ – час проводження перевірки [3].

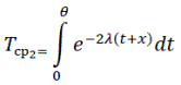
При контролі на функціонування за умови резерву каналів «2 з 3» для знаходження середнього часу перебування в робочому стані використовується формула:

                                                                                 (7)

 Матриця переходів М характеризує імовірності того, що БЦВМ буде перебувати у встановленому стані у встановлений проміжок часу і імовірності переходу х одного стану в інший.

                                M= ;                            (8)

Матриця M0 характеризує початковий стан системи:

M0=||1 0 0||

Для визначення оптимальної стратегії контролю проводиться порівняльний аналіз результатів розрахунку величин Тср та Тср2 і обирається оптимальна стратегія контролю для розглянутої БЦВМ.       

 

Список використаної літератури

 

1.                 ДСТУ 2860-94 Надійність техніки. Терміни та визначення [Електронний ресурс] – Електрон. дані – Режим доступу: http://www.dnaop.com/html/2273_4.html, вільний – Заголовок з екрана.

2.                 Класифікація відмов, параметри надійності [Електронний ресурс] Електронні дані – Режим доступу: http://ukrefs.com.ua/page,7,155566-Klassifikaciya-otkazov-parametry-nadezhnosti.html вільний .– Заголовок з екрана.

3.                 Особливості обслуговування та надійність обчислювальних пристроїв ПК і комп'ютерних систем [Електронний ресурс] Електронні дані – Режим доступу: http://moodle.nati.org.ua/mod/book/tool/print/index.php?id=10032 вільний.– Заголовок з екрана.