Экономические науки/8.Математические методы в экономике
Вайс Г.Б., Дрожжин Д.Н.
Автомобильно-дорожный
институт
Донецкого национального технического университета
Исследование
СМО в среде Mathcad
Постановка
задачи. В универсаме на линию
расчета поступает поток заявок покупателей с интенсивностью
. Среднее время обслуживания одного покупателя кассиром
.
Необходимо определить минимальное число
кассиров (линий обслуживания) при котором очередь не будет расти до
бесконечности и оптимальное количество кассиров
, при котором относительная величина затрат, связанная с
издержками на содержание каналов обслуживания и с пребыванием в очереди
покупателя будет минимальна.
Исходные данные.

Очередь
не будет возрастать до бесконечности при условии
, т.е. при
. Таким образом, минимальное количество кассиров ![]()
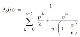
Запишем все характеристики обслуживания
СМО, в виде функций дискретной переменной n (количества кассиров), которая
изменяется от 3 до 7.
·
Вероятность того, что на
линии расчета отсутствуют покупатели.

·
Вероятность того, что на
линии расчета будет очередь.

·
Среднее число
покупателей, находящихся в очереди.

·
Среднее время ожидания в
очереди, мин.

·
Среднее число
покупателей на линии расчета.
![]()
·
Среднее время нахождения
покупателя на линии расчета, мин.

·
Доля занятых
обслуживанием кассиров.

·
Относительная величина затрат

Расчет основных показателей дает
следующие результаты.
|
Количество контролеров-кассиров |
Вероятность простоя контролера-кассира |
Среднее время пребывания очереди |
Относительная величина затрат при простое |
|
|
|
|
|

Как видно из расчетов минимальные
затраты получены при
, т.е. при наличии 4-х кассиров. Определим все характеристики линии расчета при
.

Таким
образом, имеем, что в среднем 5,7%
времени кассир будет простаивать. Наличие очереди определяется 26,4%. Средняя длина очереди – не более одного
человека. Среднее время пребывания в очереди
около 36 секунд (0,601 мин).
ЛИТЕРАТУРА
1.
Саати Т.Л. Элементы
теории массового обслуживания и ее приложения. –М.: Изд-во «Советское радио»,
1971. -720 с.
2.
Ивченко Г. И., Каштанов
В. А., Коваленко И. Н. Теория массового обслуживания: Учеб. пособие для вузов.
М.: Высшая школа, 1982. -256с.