#Евтушенко Д.А., Одаренко Е.Н.
Управление дисперсионными характеристиками
фотонно-кристаллических волноводов
Физика/7. Оптика
Евтушенко Д.А., Одаренко
Е.Н.
Харьковский национальный
университет радиоэлектроники, Украина
Харьковский национальный университет имени В.Н. Каразина, Украина
Управление
дисперсионными характеристиками
фотонно-кристаллических волноводов
Фотонные кристаллы привлекают внимание
исследователей благодаря их уникальным физическим свойствам [1]. Эти свойства описываются дисперсионными
характеристиками, которые представляют собой зависимость частоты от фазовой
скорости. Спектральные
свойства фотонных кристаллов обусловлены структурной интерференцией в
периодических системах и характеризуются наличием запрещенных и разрешенных
частотных зон. Фотонная запрещенная зона (photonic band gap) представляет собой диапазон частот,
в котором распространение света невозможно в фотонном кристалле во всех
направлениях. Такие структуры могут иметь дефекты (линейные или локальные), за
счет которых образуются волноводы и резонаторы.
Рассмотрим фотонно-кристаллический
волновод, который формируется путем удаления одного ряда элементов из
периодической структуры, сформированной бесконечными диэлектрическими
цилиндрами (схема волновода представлена на врезке на рис. 1) с диэлектрической
проницаемостью ε = 12.
Модификация данной линии передачи
производится путем изменения конфигурации элементов фотонного кристалла,
расположенных на границах волноводного канала. Численные расчеты дисперсионные
диаграммы в данной работе производятся с помощью программного пакета MIT Photonic Bands (MPB) [2].
На рис. 1 приведена дисперсионная диаграмма для исходной
конфигурации волновода. Данная диаграмма приведена для ТМ поляризации,
поскольку в этом случае фотонный кристалл имеет полную запрещенную зону. В
данном случае радиус сечения r=0,2. По оси ординат откладывается
безразмерная частота, где с – это
скорость света. По оси абсцисс – безразмерное волновое число. а – постоянная решетки.

Фотонная
запрещенная зона бесконечного фотонного кристалла без линейного дефекта
расположена в интервале
. Из рис. 1 видно, что в фотонной запрещенной зоне существует
одна дисперсионная кривая (волновод является одномодовым).
Рассмотрим далее различные модификации этого волновода. На
рис. 2 представлена дисперсионная диаграмма для конфигурации, показанной на
врезке к этому рисунку. В данном случае на границе волноводного канала удалена
часть элементов структуры. Данная диаграмма построена в пределах запрещенной
зоны бесконечного фотонного кристалла. Из рисунка видно, что в запрещенной зоне
находится три дисперсионных кривых. Следовательно, в данном случае волновод
становится многомодовым. Кроме того, данный волновод имеет две полосы
пропускания различной ширины.
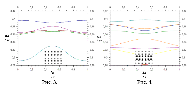
На рис. 3 представлена дисперсионная диаграмма для волновода
с другой конфигурацией границ канала. Здесь часть цилиндров на границе
волноводного канала имеет не круглое, а квадратное поперечное сечение. Из
рисунка видно, что спектральные характеристики такой структуры существенно
отличаются от характеристик исходного варианта (рис. 1). В данном случае
волновод имеет три частотные полосы пропускания.

На рис. 4 представлена
дисперсионная диаграмма для третьего варианта волновода. Как видно, характеристики
значительно изменились по сравнению с предыдущим вариантом (рис. 3). В
частности, возросло количество волноводных мод и полос пропускания.
Таким образом, результаты расчета дисперсионных
характеристик фотонно-кристаллического волновода с различной конфигурацией
элементов, расположенных на границе канала свидетельствуют о возможности
управлять спектральными характеристиками данной структуры. В частности такой
модифицированный волновод может иметь несколько полос пропускания в пределах
запрещенной зоны бесконечного фотонного кристалла.
Литература:
1. Joannopoulos J.D.,
Meade R.D., Winn J.N. Photonic Crystals: Molding the Flow of Light. – Princeton
Univ. Press, 1995. – 137 p.
2.
Johnson S. G., Joannopoulos J. D. Block-iterative frequency-domain
methods for Maxwell's equations in a planewave basis // Optics Express. – 2001,
No 3. – pp. 173–190.