УДК
681.3.06
Напряженности
магнитного поля от токов трехфазных трехжильных кабелей в окружающем
пространстве для симметричного и неполнофазных режимов электрической сети
Аспирант
В.А. Беспалов, аспирант А.Н. Стройкин, к.т.н. А.В. Салтыков, д.т.н. В.М.
Салтыков.
Самарский
государственный технический университет
443100,
Россия, г. Самара, ул. Молодогвардейская,244
В трехфазных
электрических сетях кроме симметричного режима, часто возникают и неполнофазные
режимы, обусловленные обрывом одной из жил кабелей, что приводит к изменению
напряженностей магнитного поля Н, А/м, в окружающем пространстве,
определяемых токами в линейных проводах кабеля.
Для расчета
напряженностей магнитного поля вокруг кабеля как для трехфазного
(симметричного), так и неполнофазных (обрыв фазы В или С) режимов
электрической сети можно использовать геометрическую модель трехфазного
трехжильного провода, представленную на рис. 1.

Рис.
1. Геометрическая модель для расчета напряженностей магнитного поля вокруг
трехфазного трехжильного кабеля (А В С) электрической сети.
В результате выполненных расчетов были получены
выражения для определения максимальных
действующих значений суммарной напряжённости магнитного поля
, А/м, от трехфазного трехжильного кабеля с расположением жил
по треугольнику в окружающем кабель пространстве:
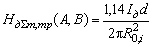
а) для трехфазного (симметричного) режима кабеля
электрической сети (А,В,С):
, А/м, (1)
б) для неполнофазного режима кабеля электрической
сети (А,С) при обрыве фазы (жилы)
В , т.е. при
:
, А/м, (2)
в) для неполнофазного режима кабеля
электрической сети (А,В) при обрыве фазы (жилы) С , т.е. при
:
, А/м, (3)
где:
- действующие
значения токов в фазах (жилах) кабеля, А;
- расстояния между
жилами провода
, м;
- расстояния между
контрольной точкой пространства и центром провода, м.
Из представленных выражений видно, что
при неполнофазных режимах кабеля электрической сети, т.е, при обрыве одной из
фазы (жилы) В или С, в
окружающем пространстве максимальные действующих значений суммарной
напряжённости магнитного поля
, А/м, от токов трехфазного трехжильного кабеля с
расположением жил по треугольнику равны между собой (2), но при этом в 1,24
раза больше чем для симметричного режима электрической сети.
На основании результатов расчета действующих
значений суммарных напряженностей магнитного поля
вокруг трехфазного
трехжильного кабеля для симметричного режима (А,В,С) и при обрыве фаз (жил) В
или С также можно построить круговые диаграммы (в соответствии с
геометрическими моделями расположения проводов (фаз) трехфазного трехжильного
кабеля осям координат прямоугольной системы, показанных на рис. 2, 4, 6)
изменения
, А/м, показанные на рис. 3, 5, 7.
|
|
|
|
Рис. 2.
Геометрическая модель расположения трехфазного трехжильного провода по осям
координат прямоугольной системы |
Рис. 3. Круговая
диаграмма изменения |
|
|
|
|
Рис. 4. Геометрическая
модель расположения трехфазного трехжильного провода по осям координат
прямоугольной системы |
Рис. 5. Круговая
диаграмма изменения |
|
|
|
|
Рис. 6. Геометрическая
модель расположения трехфазного трехжильного провода по осям координат
прямоугольной системы |
Рис. 7. Круговая
диаграмма изменения |
По рис. 3,
5, 7 можно определить направление значений суммарных напряженностей магнитного
поля
, включая и
максимальные, вокруг трехфазного трехжильного кабеля для симметричного режима
(А,В,С) и для неполнофазных режимов, т.е. при обрыве фаз (жил) В или С вокруг
трехфазного трехжильного кабеля.
В заключение
следует отметить, что приведенные круговые диаграммы и полученные выражения для
определения максимальных действующих значений суммарной напряжённости
магнитного поля в окружающем пространстве от токов в трехфазных трехжильных
кабелях (при известном расположении жил) в зависимости от рассмотренных видов режимов
трехфазной электрической сети позволяют оценить условия электромагнитной
совместимости в соответствии с требованиями нормативных документов: ГН
2.1.8.2.2.4.2262-07 для обслуживающего персонала; ГОСТ Р 51317.6.1-2006 или
ГОСТ Р 50648-04 для технических средств, а также выбрать наиболее рациональные
(безопасные) места их расположения.