Шинибаев М.Д.- д.ф-м.н., профессор, Нурматова А.А, Марченко И.Н. школа №29, Казахстан,  ЮГПИ

ПРОМЕЖУТОЧНАЯ ОРБИТА ПРОБНОГО ТЕЛА В КВАДРАТУРАХ

Известно, что разложения силовой функции притяжения Земли имеют сложные проблемы, возникающие из-за особенностей распределения масс внутри Земли и сложности рельефа се поверхности. Поэтому при решении задачи о движении спутника в поле тяготения Земли разбивают потенциал на две части - нормальную и аномальную части.

Нормальный потенциал содержит в себе основные возмущения от сжатия Земли, а аномальная часть учитывает остальные неравенства. Движение спутника в нормальном поле тяготения является главной проблемой теории движения спутников Земли.

Эта проблема решается или методом промежуточных орбит, или методом теории возмущении [1].

В данной статье построена новая промежуточная орбита в квадратурах, которая решает главную проблему теории движения спутников Земли. Эта промежуточная орбита представляет собой математическую модель пространственного орбитального движения ИСЗ в поле тяготения Земли и внешнего тела Задача решена в сферической системе координат, оси которой совпадают с главными центральными осями инерции Земли.

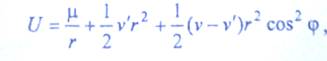
Силовая функция промежуточной орбиты имеет вид [2]:


где р - гравитационный параметр, первое слагаемое характеризует поле тяготения центрального тела (Земли), а остальные слагаемые характеризуют поле тяготения внешнего тела и сжатия Земли; ф - широта спутника; г - модуль радиуса-вектора спутника; vhv'- постоянные параметры.

Общее решение дифференциальных уравнений промежуточной орбиты получено методом Гамильтона-Якоби в квадратурах. Найденные квадратуры учитывают вековые возмущения первого порядка от сжатия центрального тела, и не имеют особенностей при нулевых наклонах и эксцентриситетах, позволяют избежать проблем критического наклона, не содержат в себе вековых и смешанных членов.

Полученные квадратуры позволяют построить теорию неуправляемого движения ИСЗ, что важно при реанимации станции и спутников в нештатных ситуациях.

Литература

1.     Итоги науки и техники. Серия: Исследование космического пространства. - М.. 1980. - Т. 15. - 160 с.

 

2.      Шинибаев М.Д. Поступательное движение -.ссишч- !равитнруюгцего тела в центральном и нецентральном поле тяготения. —Алматы, 2001.-128 с. 

3.      Шарпъе K.T. Небесная механика. - М.: Наука. 1966.        627   с.