Физика /1.Теоретическая физика
К.п.н. Мищик С.А.
Государственный морской университет имени
адмирала Ф.Ф.Ушакова ,
Россия
Системные акустические задачи прикладной физики
морского флота
Системные акустические задачи
прикладной физики морского флота отражают целостно-системное моделирование
основных элементов транспортных объектов. При этом возникает ориентация на
единство базисных характеристик предметных и исполнительных условий
относительно предмета содержания и способа его реализации. Рассматриваются: общие
вопросы акустики; линейная акустика идеальной среды; затухание звука в
жидкостях и газах; релаксационное
поглощение; отражение и преломление звука; отражение от слоя и прохождение
через слой; движение и звук на морском флоте.
В процессе решения системных задач акустической
прикладной физики морского флота необходимо применять основные положения теории
деятельности, системного анализа и теории формирования интеллекта.
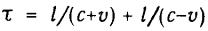
Системный анализ предполагает
выполнение последовательности системных аналитических действий: выделить объект
анализа – акустическую задачу прикладной физики морского флота (АЗПФМФ) как
систему; установить порождающую среду АЗПФМФ; определить уровни анализа АЗПФМФ;
представить целостные свойства АЗПФМФ относительно пространственных, и временных
характеристик и их комбинаций; выделить структуру уровня анализа АЗПФМФ;
установить структурные элементы уровня анализа АЗПФМФ; определить
системообразующие связи данного уровня анализа АЗПФМФ; представить межуровневые
связи анализа АЗПФМФ; выделить форму организации АЗПФМФ; установить системные
свойства и поведение АЗПФМФ.
Задача 1
Пуля пролетела со скоростью 660 м/с на расстоянии 5 м
от морского пехотинца. На каком расстоянии от морского пехотинца была пуля,
когда он услышал ее свист? Скорость звука 332 м/с.
Ответ: 9,6 м
Задача 2
Эхолот измеряет глубину моря по отражению звука от морского
дна. Какова должна быть минимальная точность в определении времени отправления
и возврата сигнала, если прибор рассчитывается на измерение глубин более 30 м с
точностью до 5%? Скорость звука в воде 1500 м/с.
Ответ: 10-3 c
Задача 3
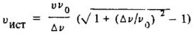
Узкий пучок ультразвуковых волн частотой ν0 = 5O кГц направлен от неподвижного локатора к
приближающейся подводной лодке. Определить скорость U подводной лодки, если частота ν1 биений (разность
частот колебаний источника и сигнала, отраженного от лодки) равна 250 Гц.
Скорость υ ультразвука в морской воде принять равной 1,5 км/с.
Ответ:
![]()
Задача 4
Приближающийся теплоход дал гудок, звук которого
услышали на мосту через 3 с. Спустя 3 мин теплоход прошёл под мостом.
Температура воздуха 00 С. Найти скорость движения парохода. Скорость
звука 332 м/с.
Ответ: 6 м/с .
Задача 5
Сигнальная ракета, запущенная вертикально вверх с
палубы судна, разорвалась через 5,0 с после запуска, а звук разрыва был услышан
через 0,4 с после разрыва. На какую высоту и с какой средней скоростью
поднялась ракета? Температура воздуха 00 С. Скорость звука 332 м/с.
Ответ: 130 м; 26 м/с.
Задача 6
Определить глубину моря в точке обсервации судна, если
ультразвук судовой акустической системы был принят через 0,9 с? Скорость
ультразвука в воде 1555,5 м/с.
Ответ: 700 м.
Задача 7
Судовую гидроакустическую установку применили для
измерения скорости потока воды в морской узкости. Определить скорость течения в
узкости, если расстояние между вибраторами 100 метров ультразвук проходит в
одном направлении за 0,5 с, а в противоположном – за 1,0 с.
Ответ: 50 м/с.
Задача 8
Из судового орудия произвели выстрел под углом 260
к горизонту. Орудийный расчёт услышал разрыв снаряда через 44 с после выстрела.
Определить горизонтальную дальность полёта снаряда, если его начальная скорость
800 м/с.
Ответ: 10 км.
Задача 9
Самолёт пролетел со скоростью 500 м/с на расстоянии 6
км от морского судна. На каком расстоянии от корабля был самолёт, когда служба
наблюдения приняло его звук. Скорость звука 332 м/с.
Ответ: 9 км.
Задача 10
Амплитуда колебаний давления звуковой волны в судовом
машинном отделении достигает 0,001 Н/см2 . Найти поток энергии,
попадающей за 1 с в ухо вахтненному механику. Считать площадь уха 4 см2 и ухо распологается перпендикулярно
направлению распространения волны. Плотность воздуха 1,3 кг/м3
. Скорость звука 332 м/с.
Ответ: 4,6·10-5 Вт.
Задача 11
Интенсивность звука в морской воде согласно эмпирической
формуле убывает вследствие поглощения на величину
, где f — частота в килоГерцах. Определить, на каком
расстоянии r от источника затухание
уменьшит амплитуду волны в 100 раз при частотах 10 и 100 кГц.
Ответ: r1= 35км; r2 = 1,1км.
Задача 12
Найти переходное расстояние, на котором в сферической
волне потери энергии на расхождение равны потерям на поглощение. Вычислить это
расстояние в пресной воде при температуре 140С на уровне моря, когда
коэффициент вязкости равен 1,14·10-3 Па·с. Частота звука
10 кГц.
Ответ: 1 км.
Задача 13
Найти коэффициент отражения по давлению и коэффициент
передачи энергии при нормальном падении звука из воздуха в воду и из воды в
воздух. Плотность воздуха ρ1
= 1,29 кг/м3, воды ρ2
= 103 кг/м3. Скорость звука соответственно с1
= 340 м/с, с2 = 1480 м/с. Как изменится коэффициент передачи при
косом падении волны на границу раздела сред?
Ответ: Vp = - 0,9994; WJ = 0,0012 .
Задача 14
Ультразвуковой магнитострикционный никелевый преобразователь
судовой акустической системы помещен в морскую воду. Какая доля энергии
акустической волны, распространяющейся в никеле, при этом передается морской
воде? Плотность никеля ρ1
= 8·103 кг/м3; скорость звука в нём с1 = 5·103
м/с. Плотность морской воды ρ2 = 1030 кг/м3,
скорость звука в ней с2 = 1480 м/с. Считать для оценок, что задача
сводится к нормальному падению плоской волны на границу.
Ответ: WJ = 0,13.
Задача 15
Вычислить коэффициент отражения звука, падающего под
малыми углами скольжения из воды на морской грунт, который рассматривается как
жидкая среда с потерями. Плотность морской воды ρ1 = 1030 кг/м3, скорость звука в ней с1
= 1480 м/с. Плотность жидкого грунта ρ2
= 2200 кг/м3, комплексная скорость звука в грунте
, где c02 = 1500 м/с, угол потерь δ считается не зависящим от частоты (δ = 0,01) .
Ответ:
VP
=
.
Задача 16
Во сколько раз уменьшается мощность плоской звуковой
волны с частотой f =1 кГц при прохождении через стальную судовую
переборку толщиной 2,5 см, которая
разделяет два отсека подводной лодки заполненные водой. Плотность стали 7,8
г/см3 , скорость звука в ней 5100 м/с.
Ответ: 0,01.
Задача 17
Теплоход плывет параллельно берегу моря со скоростью v = 20
км/ч и подает гудки на частоте f0 =
200 Гц. На какой частоте звук принимает водитель автомобиля, движущегося
параллельно берегу со скоростью u = 80
км/ч, если звуковой луч образует с направлениями движения угол θ ? Рассмотреть случаи θ = 600, 900, 120°.
Ответ: 182 Гц; 200 Гц; 233 Гц.
Задача 18
Звуковой сигнал парохода падает под углом θ =
450 на границу атмосферного ветра, движущегося со скоростью u0 = 10
м/с. Вычислить коэффициенты отражения и прозрачности.
Ответ: V=0,002; W = 1.
Задача 19
Пароход посылает гудки об опасности в направлении ветра,
скорость которого v. Эхо сигнала отражается от прибрежных гор, удаленных на
расстоянии ℓ, и принимается на пароходе. Через какое время будет
принят отраженный сигнал?
Ответ:
.
Задача 20
Низкочастотный звук судовой турбины распространяется
вдоль оси х цилиндрической трубки системы автоматического правления с площадью
поперечного сечения S. Звуковое поле воздействует на колебательную систему, состоящую
из поршня массой m и пружинки с жесткостью k .
Трение пропорционально скорости поршня (Fтр
= - ах), где х — смещение из положения равновесия. Определить, при
каких условиях возможно полное поглощение звуковой волны, падающей на поршень
системы автоматического управления.

Ответ:
.
Задача 21
Определить коэффициент прохождения звукового хлопка в
судовом трубопроводе (по энергии) при переходе из трубы сечением 10 см2
в трубу сечением 7 см2.
Ответ:
WJ = 0,97.
Задача 22
В сторону берегового шельфа, каменистое дно которого
образует с горизонтальным уровнем воды
угол 1,1°, распространяется звук с частотой 6 кГц от ненаправленного судового излучателя.
Определить число незатухающих мод, приходящих в точки, расположенные на
расстояниях 10 и 50 м от берега. Найти углы наклона к горизонту лучей Бриллюэна
на расстоянии 10 м от берега. Скорость звука в воде 1480 м/с.
Ответ: на расстоянии 10 м образуются две незатухающие моды;
при 50м—восемь мод. Углы наклона лучей Бриллюэна при 18,7°
и 41,7°.
Задача 23
При распространении звука в океане вертикальное отклонение
луча z во много
меньше размера неоднородности H. Используя это
условие, получить из формулы
явное
выражение z = z (х) для траектории луча.

Ответ:
. Луч
представляет собой параболу.
Задача 24
При определении скорости звука часто используют
различные эмпирические формулы, которые позволяют по измерениям температуры t
(в градусах Цельсия), солености s (в промиллях; 1 %0 =
0.1 %), глубины z (в метрах); рассчитать скорость звука с (в м/с). Формулы
различаются точности оп- ределения скорости. Одной из них является формула
![]()
Она обеспечивает точность до 1 м/с в диапазоне температур
t от 0 до 35 °С, солености s от 0 до 45 %0, глубины z
0 до 1000 м. Пусть судно находится в широком устье реки, несущей пресную воду в
море. Верхние 5м—это пресная вода при температуре 200С. Ниже находится
толща морской воды с соленостью
20 %0 и температурой 15°С. Максимальная
глубина Н = 20 м. Найти и построить профиль скорости звука. Необходимо ли
учитывать добавку к скорости звука, связанную гидростатическим давлением,
последнее слагаемое уравнения? Найти
коэффициент отражения по давлению V от скачка скорости.
Ответ:
Поправка, связанная с гидростатическим
давлением, меньше точности формулы. Коэффициент отражения равен V =
2,5·10-3.
Задача 25
Гидролокатор лоцирует объект, находящийся под слоем
резкого отрицательного скачка скорости звука (под термоклином). Найти
ослабление принимаемого сигнала К, связанное с наличием термоклина.

Ответ: К=
.
Задача 26
Найти ослабление силы звука при эхолоцировании с
поверхности подводного объекта, находящегося непосредственно под термоклином, с
перепадом скорости Δс = 50 м/с (с1 = 1450 м/с), если расстояние
до объекта r = 1 км, а термоклин расположен на глубине h = 100 м. Ответ:
.
Задача 27
Определить полную мощность излучения звука судовой
сигнальной системой в виде сферы радиусом 1 см, совершающей в воздухе
поступательные колебания на частоте f = 100
Гц с амплитудой смещения
= 1 мм. Как
изменится мощность, если колебания происходят в воде?
Ответ:
; для
воды излучаемая мощность в 10 раз выше.
Задача 28
Вахтенный гидроакустик неподвижной подводной лодки
воспринимает звуковые колебания от двух подводных лодок, одна из которых
приближается, а другая - с такой же скоростью удаляется. При этом гидроакустик слышит
биения с частотой Δv. Найти скорость каждой подводной
лодки, если звуковая частота их колебаний vо, а скорость звука u .
Ответ:
.
Задача 29
Оценить радиус первой зоны Френеля на дне океана для
гидролокатора, работающего на частоте f = 45 кГц при глубине места h =
3200 м. Скорость звука принять равной 1500 м/с. Ответ: r1 = 10 м.
Задача 30
Наблюдатель на берегу моря слышит звук пароходного
гудка. Когда наблюдатель и пароход находятся в покое, частота воспринимаемого
наблюдателем звука v=420 Гц. При движении парохода воспринимаемая частота v1=430
Гц, если пароход приближается к наблюдателю, и v2=415 Гц,
если пароход удаляется от него. Найти скорость v парохода в первом и во втором
случаях, если скорость распространения звука в воздухе с=338 м/с.
Ответ:
v1 = 28,3
км/ч; v2 = 14,7
км/ч.
Литература:
Акустика в задачах. Под ред. С.Н.Гурбатова и
О.В.Руденко.—М.: Наука. Физматлит, 1996.—336 с.