к.т.н. Новиков А.Н., Новикова Е.Е.
Военная академия РВСН имени Петра Великого
Кольцевые антенные решетки нашли большое
применение в радиолокации. Благодаря круговой симметрии, такие решетки могут
использоваться для получения ненаправленных (в плоскости решетки) амплитудных
диаграмм направленности (ДН), а также для создания направленных амплитудных
диаграмм, слабо меняющихся при сканировании в пределах
.
На рисунке 1 антенна расположена в
плоскости
сферической системы
координат, начало которой совмещено с центром кольца. Плоскость
является
азимутальной, а любая плоскость
— меридиональной.
Координатами элементов решетки тогда являются
(
– радиус кольца).
Цель доклада ‑ исследование
закономерностей формирования «нуля» диаграммы направленности кольцевых антенных
решеток (КАР) при пространственной обработке широкополосных сигналов.
Рассмотрим
-элементную КАР с кольцевой геометрией излучающего раскрыва
(рисунок 1), обеспечивающую прием полезного сигнала в присутствии
широкополосных помех.
Направление прихода
и спектр полезного
сигнала
являются известными,
аналогичные параметры помеховых сигналов ‑ неизвестными. Требуется
определить совокупность весовых коэффициентов
в каналах КАР,
обеспечивающих в заданной полосе частот оптимальное подавление помеховых
сигналов в соответствии с критерием максимума отношения сигнал/(помеха+шум)
(ОСПШ).

Рис.1. Кольцевая антенная
решетка
На основе формулировки критерия
оптимальной обработки узкополосного сигнала по максимуму ОСПШ [1] сформулируем
аналогичный критерий для широкополосного сигнала в следующем виде [6]:
, (1)
где
– частотно-зависимая ковариационная матрица
полезного сигнала;
– частотно-зависимая
ковариационная матрица сигналов помех;
‑
частотно-зависимый вектор весовых коэффициентов;
,
– определяют полосу частот, в которой
обрабатывается полезный сигнал;
,
– символы операций транспонирования и
комплексного сопряжения соответственно.
Интеграл (1)
принимает максимальное значение, когда подынтегральное выражение является
максимальным для каждой частоты. Это позволяет представить оптимальную
частотную зависимость весовых коэффициентов в виде [6]:
, (2)
где
– вектор-столбец, элементы которого
определяют формирование ДН заданной формы в отсутствии помех;
, (
) ‑ вектор-столбец, элементами которого являются
комплексные амплитуды
-го помехового на выходе излучателей КАР;
‑ единичная
матрица;
‑ мощность
тепловых шумов;
‑
частотно-зависимый коэффициент, определяемый из свойств ковариационной матрицы
помех [5].
Из соотношения
(2) можно сделать вывод, что на частотах, где
формирование «нуля» ДН не должно происходить.
Исследование возникающих закономерностей
проведем на примере кольцевой антенной
решетки радиусом
м, состоящей из
излучателей,
расположенных с шагом
по окружности (
‑ длина волны,
соответствующая средней частоте диапазона полезного сигнала). Рассматриваются
следующие параметры полезного и помехового сигналов: полезный сигнал приходит с
направления
и имеет равномерный спектр в полосе частот
,
; для помехового
сигнала, приходящего с направления
, рассматриваются два
случая различных видов спектра:
(3)
(4)
Соответствующие
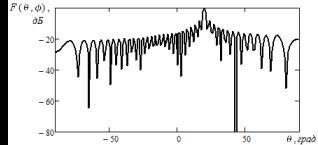
данным сигнально-помеховым ситуациям диаграммы направленности КАР приведены на
рисунках 2 и 3. Во всех случаях на рисунках с индексом «а» показаны ДН на
частоте
, на рисунках с
индексом «б» – ДН на центральной частоте и на рисунках с индексом «в» – ДН на
частоте
.
Проведенное моделирование показывает
(рисунок 2), что для первого случая сигнально-помеховой ситуации формирование «нулей» ДН происходит только в
полосе частот
, а для второго случая сигнально-помеховой обстановки –
только в полосах частот
и
(рисунок 3). Таким
образом, результаты моделирования подтверждают, что при оптимальной
пространственной обработке широкополосных сигналов формирование «нулей» ДН
происходит только на тех частотах, где спектральная плотность помехи не равна
нулю.
|
а) |
б) |

в)
Рис.2. ДН КАР для первого
случая сигнально-помеховой обстановки
|
а) |
б) |

в)
Рис.3. ДН КАР для второго
случая сигнально-помеховой обстановки
Из приведенных графиков также видно, что
при увеличении частоты происходит сужение главного максимума ДН КАР. Это
связано с тем, что с увеличением частоты происходит уменьшение длины волны
, что пропорционально уменьшению расстояния между
излучателями. Особенностью моделирования и построения КАР является прямая
зависимость числа излучателей от радиуса решетки.
В докладе рассмотрены особенности
формирования ДН при пространственной обработке широкополосных полезного и
помеховых сигналов. Показано, что при оптимальной обработке формирование
«нулей» ДН в направлении помехового сигнала происходит только на частотах, где
спектральная плотность помехи не равна нулю. Приведенные соотношения позволяют
определять оптимальную частотную зависимость весовых коэффициентов в ААР, что
может быть использовано на этапе разработки антенного устройства и обоснования
его параметров.
Литература
1.
Р.А. Монзинго, Т.У.
Миллер. Адаптивные антенные решётки. – М.: Радио и связь, 1986, 448с.
2.
А.А. Пистолькорс, О.С.
Литвинов. Введение в теорию
адаптивных антенн. – М.: Наука, 1991, 200с.
3.
А.К. Журавлёв, А.П.
Лукошин, С.С. Поддубный. Обработка
сигналов в адаптивных антенных решётках. – Л: Изд-во ЛГУ, 1983.
4.
Г.В. Серебряков. Обработка широкополосных сигналов в
антенных решетках в частотно-селективном канале распространения. ‑ Н.
Новгород: Актуальные проблемы статистической радиофизики. Том 3, 2004. с. 97 –
103.
5.
Воеводин В.В., Кузнецов
Ю.А. Матрицы и вычисления. ‑ М.: Наука, 1984. с. 320.
6.
Д.Д. Габриэльян, А.Н.
Новиков, И.Г. Цыпорина. Опримальное подавление широкополосных помех в
адаптивных антенных решетках // Электромагнитные волны и электронные системы.
М.: Радиотехника – 2011. – с. 20-23.