Строительство и архитектура/3.
Современные технологии строительства,
реконструкции и реставрации
Проф.Спиридонов
Э.С., Абрамов В.В.
ФГБОУ
ВО «Российский университет транспорта (МИИТ)», Россия
Моделирование
взаимодействий ресурсопотоков технологических процессов
Перспективной
и труднодостижимой целью управления любой технической или технологической
системой является прогнозирование поведения системы. Задача моделирования
такого поведения на сегодняшнем уровне знаний очень сложна. Она лежит в области
комплексных ресурсных задач, требует математического анализа в сочетании с
неформальной экспертизой.
Модель
обязательно должна отражать качество проблемной ситуации, выявлять ее
существенные, системообразующие связи и взаимодействия. Это значит, что при
рассмотрении любых объектов должна быть построена и осмыслена целостная картина
всех наиболее существенных аспектов выработки решений. Важность этого
требования для решения комплексных транспортных проблем подчеркивается в грудах
Н. И. Бусленко, А. А. Гусакова, Н Н. Моисеева, Г. С. Переселенкова, Э. С.
Спиридонова, А. А. Цернаита, Т. В. Шепитько и других авторов. Чтобы выполнить
эти требования, создаются новые, более мощные средства моделирования проблемных
ситуаций и технологии поддержки принятия решений. Например, подход,
предложенный Э. П. Григорьевым, состоит в переходе от манипулирования
отдельными единицами описаний, извлекаемыми из банков информации, к
использованию специальной аналитико-синтезирующей процедуры и программных
средств, позволяющих системно воспроизводить комплексные процессы, и
рассматривать их в развитии, как живую систему при помощи специализированной
программы-оболочки ГРИАКС (генерирование решений итерациями анализа —
концептуального синтеза).
Пользователь
получает возможности:
— расширить
множество рассматриваемых объектов и ситуаций;
— мобилизовать арсенал концепций и гипотез о
преобразовании реальности;
— включить неформальную логику обоснований в процесс
принятия решений.
В
процессе принятия решений моделируется эффект внесения устойчивых структур
организованности ресурсопотоков в хаотично-неопределенные условия исходной
проблемной ситуации. Реализуется технология синтеза альтернативных вариантов
(гипотез) в целостные решения, управляющие динамикой ситуации, за счет чего
усиливается логика обоснований принимаемых решений.
Очевидно,
что для приведения законов управления технологическими процессами и системами в
соответствие законам самоорганизации живых социотехнических систем придется
улавливать не только наблюдаемые процессы макромира, но и моделировать
преобразования, которые происходят в "невидимых” его сферах.
В связи
с тем, что переход от исходного
состояния к конечному всегда характеризуется ненулевыми начальными условиями и
связан с затратами ресурсов, изменением стоимости и ценности будущего изделия,
этот переход подчиняется марковским законам случайных процессов теории
автоматического регулирования. А. Н. Колмогоров, Т. А. Сарымсаков, Е. Б. Дынкин
и ряд других исследователей показали, что переходной процесс сопровождается
изменением во времени координат динамической системы при ее переходе из одного
установившегося режима в другой, независимо от поведения процесса до исходного
ненулевого момента времени начала перехода.
В ряде
работ показано, что переход может произойти под влиянием комплекса воздействий,
связанных, в частности, со строительством и функционированием участка
железнодорожной линии. При этом каждая динамическая система меняет состояние,
структуру и параметры [1].
Для
поэтапного построения модели управления процесс представляют в виде
многовариантной поэтапной последовательности событий и комбинаций возможных
состояний, в которых может находиться система [4].
Для
каждого состояния задаются возможные переходы в другие состояния и определяются
переходные вероятности [2,3].
Переходы
и соответствующие им переходные вероятности определяются как внешними факторами
(отказ элементов, погодно-климатические воздействия, нарушение финансирования,
снабжения и т. д.), так и внутренним строением системы (производительностью
труда, качеством техники, дисциплиной и т. п.).
После этого процесс представляют в виде графа состояний (рис. 1).

Рисунок 1. Граф перехода от состояния
к состоянию ![]()
Теоретически этот
подход можно применить для анализа сколь угодно сложных реальных систем.
Однако, применение метода связано с необходимостью выполнения весьма трудоемких
вычислительных операций.
При пуассоновских
потоках переход процесса из состояния S, в состояние
за время
t
с точностью до бесконечно малых высших порядков происходит с вероятностью
,
где
- плотность вероятности перехода [2].
Для определения
вероятности нахождения системы в некотором текущем состоянии
– в момент времени t используют
систему дифференциальных уравнений А. Н. Колмогорова, построенных по
определенному правилу. В левой части уравнения стоит производная вероятности
состояния Si, а в правой сумма произведений вероятностей состояний, связанных с
состоянием
и
соответствующих переходных вероятностей. Если процесс направлен из состояния
Si, то соответствующий член суммы имеет отрицательное значение и наоборот.
Рассмотрим
применение этого подхода на примере математического описания технологии
послойного возведения насыпи железнодорожного земляного полотна. Технология
возведения железнодорожной насыпи представляет собой совокупность процессов:
— контроля качества
уплотнения предыдущего (нижележащего, подстилающего) слоя грунта,
— отсыпки текущего
(очередного) слоя,
— укатки очередного
слоя несколькими проходами катка.
Из практики
строительства известно, что качество дорожной насыпи в текущий момент времени t окажется неудовлетворительным в случаях:
• завышения толщины отсыпаемого слоя,
• недостаточности количества проходов катка,
• неудовлетворительного качества уплотнения
нижележащего слоя грунта.
Все статистические
данные для расчета берутся из полевого журнала грунто-испытательной
лаборатории.
Как известно, время
стабилизации земляных сооружений диктуется не средним значением коэффициента
уплотнения, а его локальными минимумами. Предположим, что проектное значение
коэффициента уплотнения
>1.
К моменту завершения отсылки минимальная достигнутая величина коэффициента
уплотнения
<
1.
Специфической
особенностью процесса является невозможность последующего вмешательства в него
с целью корректировки результата и устранения брака в связи с тем, что
недостаточно уплотненные слои насыпи к моменту обнаружения брака будут засыпаны
новыми слоями грунта. В этом случае стабилизация земляного сооружения будет
идти за счет самоуплотнения грунта на протяжении многих лет. За период стабилизации прирост степени
уплотнения составит
![]()
Обозначим через
интенсивность отказов, связанных с
неудовлетворительным качеством уплотнения очередного слоя грунта. Очевидно, что частота отказов при уплотнении
некоторого сечения слоя будет тем выше, чем сильнее завышена толщина слоя h и
тем ниже, чем больше проходов n
совершит грунтоуплотнитель, то есть
проход
Обозначим через
интенсивность отказов технологии, связанных с
неудовлетворительным качеством уплотнения нижележащего слоя грунта.
В случаях
систематического недоуплотнения текущих (очередных, в данном случае - верхних)
слоев грунта интенсивность отказов
увеличится на величину
.
В предположении, что
стабилизация наступит через 10 лет, средняя интенсивность восстановления
качества
![]()
Для определения вероятности
возникновения брака надо рассмотреть технологию как систему массового
обслуживания, имеющую состояния:
-все процессы в момент t достигают
результата,
недоуплотнение
в момент t
верхнего
слоя грунта вследствие завышенной толщины слоя или недостаточного количества
проходов грунтоуплотнения,
состояние,
когда в момент t
одновременно завышена толщина слоя и занижено число проходов грунтоуплотнителя,
снижение плотности основания (подстилающего
слоя) в момент t
превысило допустимый предел.
Переходные
вероятности системы:
• из состояния
за
время
система
перейдет в состояние
с вероятностью
,
если будет завышена толщина слоя или занижено число проходов грунтоуплотнителя;
• с вероятностью
Система за время
перейдет
из состояния
в
состояние
,
если в момент t
одновременно будет завышена толщина слоя и занижено число проходов
грунтоуплотнителя;
• с вероятностью
система
за время
перейдет
из состояния
состояние
,
если снижение плотности основания (подстилающего слоя) в момент t превысит
допустимый предел при удовлетворительном качестве уплотнения верхнего слоя;
• с вероятностью
система
перейдет из состояния
в
состояние
,
если снижение плотности подстилающего слоя превысит допустимый предел при
неудовлетворительном качестве уплотнения верхнего слоя.
Ориентированный граф
четырех состояний и возможные переходы системы показаны на рис. 2

Рисунок 2. Граф состояний и возможные
переходы системы.
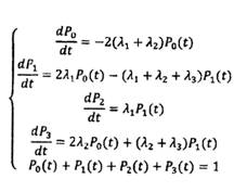
Для этого графа система
дифференциальных уравнений А.Н. Колмогорова, определяющих вероятность каждого
состояния системы в текущий момент времени t, имеет вид:
(1)
После того, как
составлены дифференциальные уравнения для каждого состояния процесса,
определяют вероятности нахождения процесса в каждом из состояний в момент
времени t при заданных начальных ненулевых условиях с учетом того, что сумма
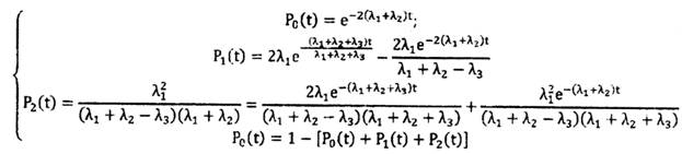
вероятностей всех состояний процесса равна единице. Решением системы
дифференциальных уравнений, с учетом принятых начальных условий, является
система функций:

(2)
Эта
методика моделирования описывает взаимосвязанные явления в их гармоничном
единстве, взаимодействии и взаимозависимости. Она, по-видимому, может иметь
широкий диапазон применения для описания различных технологических процессов.
Чтобы в этом убедиться попытаемся на примере из другой области описать
принципиально иной процесс при помощи той же модели. Речь пойдет о назначении
межремонтного периода для совмещенных крыш. Задача решалась В. М. Калининым
[4].
Совмещенная невентилируемая крыша представляет собой стандартную
конструкцию, состоящую из защитного слоя рубероида, рулонного ковра, цементно-
песчаной стяжки, теплоизоляции и пароизоляции, объединенными с железобетонной
плитой.
Ремонт
производят при разрушении всех слоев кровельного ковра или при утрате
теплоизоляционным слоем своих свойств. Предположим, что средний срок службы
защитного слоя рубероида и рулонного ковра равен шести годам,
тепло-пароизоляции - 10 годам. Тогда интенсивность возникновения неисправностей
и накопления дефектов в любом гидроизоляционном ковре равна величине, обратной
среднему сроку его службы, т.е.
Возникновение и накопление дефектов в
тепло-пароизоляционном слое при нормальном функционировании всех остальных
элементов конструкции происходит с интенсивностью
= 0.1 1/год, а в случае разрушения защитного
слоя рубероида или рулонного ковра увеличивается на величину
= 0.05 1/год. Предполагается проведение
плановых ремонтов кровли один раз в 3 года. Необходимо определить вероятность
возникновения неисправностей в элементах кровли при назначенном межремонтном
периоде.
Для этого рассмотрим кровлю как систему, имеющую состояния:
-
все элементы кровли в момент времени «работоспособны;
-в защитном слое рубероида или в рулонном
ковре в момент времени t
возникли дефекты;
-состояние,
когда в момент t
защитный слой рубероида и рулонный ковер одновременно не выполняют своих
функций;
-снижение
теплоизоляционных свойств утеплителя в момент времени t превысило допустимый предел.
Переходные вероятности системы:
• из состояния
за
время
система
перейдет в состояние
с вероятностью
если
будет нарушено нормальное функционирование защитного слоя рубероида или
рулонного ковра;
• с вероятностью
система
за время
перейдет
из состояния
в состояние
,
если в момент t
будет
одновременно нарушена целостность защитного слоя рубероида и рулонного ковра;
• с вероятностью
система
за время
перейдет
из состояния
состояние
,
если в момент времени t
произойдет
недопустимое снижение теплоизоляционных свойств утеплителя при
удовлетворительном качестве гидроизоляционных слоев.
• с вероятностью
система перейдет из состояния
в
состояние
,
если произойдет недопустимое снижение теплоизоляционных свойств утеплителя при
разрушении какого-либо гидроизоляционного слоя.
Исходя из требований к работоспособности кровли, состояния
являются
состояниями отказа, так как при их реализации кровля перестает выполнять свои
функции вследствие протечек и теплопотерь. Дтя проведения ремонтных работ
необходимо проводить оценку как состояния
так
и состояния
,
потому что при обнаружении дефектов в каком-либо гидроизоляционном слое
необходимо предупредить развитие отказа всей кровли.
Ориентированный граф четырех возможных состояний и
возможный переход системы в точности совпадает с графом описания процесса
послойного уплотнения тела насыпи.
В начальный момент времени t=0 все элементы кровли были
исправны, то есть
![]()
Для этого графа система дифференциальных уравнений
Колмогорова (1) и ее решение (2) известны.
Вероятность отказа кровли определяется из условия:
![]()
Вероятность того, что при очередном ремонте кровли потребуется
ее разборка:
![]()
Для назначенного межремонтного периода – 3 года, вероятности
нахождения кровли в каждом состоянии соответственно равны:

Следовательно, вероятность отказа кровли через 3 года
эксплуатации:
![]()
Вероятность разборки кровли при очередном ремонте:
![]()
Полученные результаты позволяют сделать следующие выводы:
1) Если при выбранной
схеме проведения ремонтов служба эксплуатирует N однотипных кровель, то в межремонтный
период будут отмечены нарушения в работе кровель в 0,514N зданиях.
2) При этом затраты
(потери), связанные с нарушениями работы кровель, составят:
,
где Ск - потери, связанные с нарушением работы кровли одного здания.
3) В 70% зданий
потребуется разборка кровли при очередном ремонте. Затраты на ремонт кровли
будут определяться ее ремонтопригодностью.
При нарушении целостности защитного стоя рубероида эти затраты
составят
руб.,
где
-
стоимость замены защитного слоя;
при дефектах рулонного ковра -
руб., где
- стоимость замены рулонного ковра; при
разрушении теплоизоляции - (
)
руб., где
- стоимость замены стяжки,
- стоимость замены теплоизоляционного слоя.
4) Всего ожидаемые
затраты на ремонт кровли:

В большинстве практических задач важно знать не только развитие
процесса во времени, но и относительное время пребывания системы в каждом из
своих состояний на больших интервалах времени. В этом случае используются
предельные вероятности состояний, которые могут существовать, если число
состояний системы конечно и из каждого состояния каким-либо путем можно перейти
в другое.
Вычисление предельных вероятностей состояний проводится
аналогично определению вероятностей нахождения системы в каждом состоянии на
основании уравнений Колмогорова, где вместо производных все левые части уравнений
принимают равными нулю.
Зная вероятности пребывания системы в каждом из своих состояний,
можно определить затратный параметр эффективности процесса, как математическое
ожидание случайной величины
![]()
и выполнить последовательность операций по определению
эффективности технологического процесса. Подставив в эту формулу на место цены
пребывания системы в текущем состоянии Ц, цену некоторого ресурса с последующим
суммированием по видам ресурсов, получим характеристику эффективности
организации ресурсопотока.
Таким образом, для определения эффективности технологического
процесса строительного производства необходимо выполнить следующую
последовательность операций:
— представить процесс
в виде всех его возможных последовательных состояний,
— определить переходы
из одного состояния в другое и соответствующие им
переходные вероятности,
— составить систему
дифференциальных уравнений переходов и вычислить вероятности пребывания системы
(процесса) в каждом из своих состояний,
— назначить цену
нахождения системы (процесса) в каждом состоянии,
— рассчитать
показатели эффективности процесса,
— установить
приоритетность состояний и путей процесса.
Литература:
1. Шепитько Т. В. Управление надежностью
реализации принятых решений и мониторинг производственной ситуации //
Ресурсосберегающие технологии на железнодорожном транспорте // Труды третьей
научно- практической конференции.- М.: МИИТ, 2000,- 298 с. С, IX-4
2.
Вентцель Е. С, Исследование операций: задачи, принципы, методология. - М.:
Наука, 1980.-208 с.
3.
Гусаков А. А., Ильин Н. И. и др. (под ред. Гусакова А. А.) Экспертные системы в
проектировании и управлении строительством-М.: Стройиздат. 1995. 296 с.
4.
Примеры расчетов по организации и управлению эксплуатацией зданий: Учеб.
Пособие для вузов/ Л.Ф. Шубин и др. –М.: Стройиздат, 1991. -280с.