К.ф.-м.н. Докукова Н.A., к.ф.-м.н. Конон П.Н.
Белорусский государственный университет, Минск,
Беларусь
Исследование
колебаний n - автономных осцилляторов на подпружиненной платформе с внешним
затуханием
Множество одинаковых горизонтально
колеблющихся элементов с внешним затуханием зафиксированы на подпружиненной
платформе с амортизаторами, обеспечивающими вязкое трение. Математическая
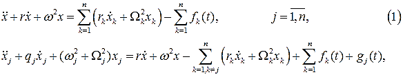
модель движений всех тел механической системы сформирована из линейных неоднородных
дифференциальных уравнений по динамической схеме [1] и в
каноническом виде динамической модели [1 - 4]

где
−
перемещения масс
;
− собственные
и парциальные частоты платформы и осцилляторов;
− коэффициенты
упругости пружин; r =b/M , rj =bj/M, qj=(1/M+1/mj) – относительные
величины, в которых b и bj
коэффициенты демпфирования соответствующих амортизаторов; fj =Fj/M и gj Fj/mj – приведенные силы
.

Рисунок 1 - Схема
движений n - метрономов на
колеблющейся горизонтальной платформе
Для упрощения расчетов положим, что все собственные и парциальные частоты
n элементов одинаковы
,
, тогда корни характеристического уравнения примут вид
на основании условий устойчивости по Воронову В.С.
многоэлементной динамической системы. К системе уравнений движения (2) необходимо
присоединить начальные условия для ее полного разрешения:
,
,
. (2)
Законы движений многоэлементной модели (1) таковы:
(3)

В этих формулах коэффициенты
и ![]()
, остальные имеют громоздкий вид и по этой причине здесь не
приводятся. Относительно них ![]()
можно высказать
общие замечания, при которых в динамической системе будет наблюдаться синфазные
либо противофазные колебания. Например, колебания
, будут синфазными, если все коэффициенты будут
пропорциональны друг другу с одной и той же величиной
пропорциональности
одновременно ![]()
![]()
, рисунок 2.
(5)
(6)

Рисунок 2 - Синфазные движения
и
двух автономных
осцилляторов на подпружиненной платформе с внешним затуханием при ![]()
Противофазными
станут движения, если все коэффициенты будут пропорциональны друг другу с одним
и тем же отрицательным значением
одновременно
![]()
, рисунок 3.

Рисунок 3 - Противофазные движения
и
двух осцилляторов при ![]()
Литература:
1. Dokukova N.A.,
Kaftaikina E.N., Konon N.P Investigation of sets synchronization of movements
oscillator with zero initial conditions// MISPC XI «Conduct of modern science».
Mathematics. Modern information technologies. Sheffield. Science and Education Ltd. Velocity Tower, Sheffield, S Yorkshire,
England.− V. 22. − 2015. −P. 7-14.
2. Dokukova N.A.,
Kaftaikina E.N. Natural oscillations synchronization of multi-element-dynamical
system of autonomous oscillators // MISPC XI «Conduct of modern science − 2015». Technical sciences. Science and education.- Sheffield, S Yorkshire,
England.− V. 23. − 2015. P. 17-22.
3. Dokukova N.A., Kaftaikina E.N., Zenkovich V.V.
// General patterns of improper vibrations of dynamical systems with an arbitrary
number of degrees of freedom/ МНПК «Новины на научния прогрес -2011».– София: Бял ГРАД-БГ ООД.- 2011.– .Т. 9. – С. 56 – 64.
4. Dokukova N.A., Kaftaikina E.N., Konon
N.P. N sync metronomes on a vibrating horizontal platform// MISPC XIII «Cutting-Edge Science - 2017».
Mathematics.- Sheffield, S Yorkshire, England.− V. 5.− 2017.- P. 38-43.