Физика/7. Оптика
Akmarov
K.A., Belov N.P., Scherbakova E. Yu., Sherstobitova A.S.,
Smirnov Yu.
Yu., Yaskov A.D.
Saint-Petersburg
National Research University of Information Technologies, Mechanics and Optics,
Saint-Petersburg, Russia
Application of visible
spectrophotometry for the control of paper photo-optic bleaching,
toning and coloring technologies
One of significant practical applications of
spectrophotometry in a visible band (λ = 380-760 nm) is a
final check of whiteness (brightness) B [1] and chromaticity of paper in
manufactures using photo-optical bleachers, toning additives and continuous
coloring. The main supplier of chemicals necessary for such manufactures in native
pulp and paper industry is the Ciba Holding AG (Company
for Chemical Industry Basel) [2] which suggests Datacolor devices [3]
for the final check. These expansive devices don’t provide appropriate
technical support.
Therefore we are interested in production of the universal, inexpensive
laboratory visible spectrophotometer that would (at insignificant realignment)
provide a measurement of reflectance/transmission spectra of different objects,
a determination of their color parameters, etc.
In the present investigation it was used the laboratory spectrophotometer based
on a polychromator with a conventional concave diffraction grating (radius of curvature r = 125 mm;
constant N = 600 lines/mm). An entrance slit of the polychromator (an
exit flat end of a polymeric optical fiber with a diameter d = 0.6 mm), the diffraction grating
and a photodetector (a CCD linear array SONY ILX511) were situated on a Rouland sphere. One of two detachable
illuminators could be installed in the spectrophotometer. The first illuminator
was based on an integrating sphere with an internal baffle [4] (for a research of reflectance spectra R(λ) of
solid state samples). The second illuminator represented a halogen incandescent
lamp (for a research of transmission spectra T(λ)
of transparent samples). A special electronic
system for data collection and manipulation provided an output and storage of
measurement results by way of diagrams and numerical arrays.
In the λ = 380-760 nm region a
resultant measurement error didn’t exceed 1 %.
A photo-optical paper bleacher (Tinopal ABP) absords ultraviolet radiation and reradiates it in a blue spectral region. Toning
additives (Irgalith Violett M) suppress the reflectance in a basic part of the
visible spectrum. The toning jointly with the bleaching improves the
aesthetical perception of paper quality.
Samples of white paper provided by the Ciba Holding AG were
used for the research of diffuse reflectance spectra. These samples were
standardized on whiteness (brightness) B and color (trichromatic)
coordinates by the Datacolor device. Tinopal ABP with a concentration down to 1
% was used as the bleacher. The toning additive for all samples was Irgalith
Violett M with a concentration 400 gramme/tonne.
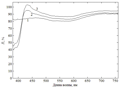
The measured reflectance spectra R(λ) for three (among eighteen) samples
provided in our disposal for a
calibration of the instrument are represented in fig. 1.

Fig. 1.
Influence of the photo-optical bleacher Tinopal ABP and the toning additive
Irgalith Violett M with a concentration 200 gramme/tonne upon diffuse
reflectance spectra of white paper. Concentration of the bleacher, (%): 1 – 0;
2 – 0.5; 3 – 1.0
These spectra qualitatively reproduce all features caused by bleaching
and toning of the initial pulp. The photo-optical bleacher forms shortwave
absorption band at λ
420 nm and gives a luminescent additive to a
reflected flux in the λ
430-480 nm region. The toning additive
reduces the reflection factor in the λ
500-640 nm region.
The whiteness (brightness) B (the reflection index R at λ = 437 nm in fig. 1) and its
reference value measured by the Datacolor device
[3] are quantitatively correlated. In comparison with the reference data Br the measurement results Be were subnormal. That is
associated with a difference of the used halogen incandescent
lamp and a pulsed xenon lamp of the Datacolor
device. The measurement results Be are connected with the
reference values Br by a
linear interpolation:
Br = 1.7452∙Be – 60.287.
The error of interpolation didn’t exceed δB
1 %. That suits the requirements of the
laboratory photo-optical bleaching and toning flow control.
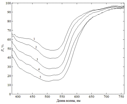
The influence of coloration on diffuse reflectance spectra
of paper are represented in fig. 2.

Fig. 2. Diffuse reflectance spectra of paper colored by the liquid
colorant Pergasol Rot 2G Fl with a concentration (%): 1 – 0.15; 2 – 0.30; 3 –
0.60; 4 – 1.20; 5 – 2.40
Forty samples also provided by the Ciba Holding
AG were used for the calibration of the instrument. Pergasol Fl of different tinctures with a concentration 0.15;
0.30; 0.60; 1.20 and 2.40 % was applied as a liquid colorant. Reference color
(trichromatic) coordinates’ data X, Y, Z
were measured by the Datacolor device [3]. Concentration
dependences of these coordinates received in this paper practically exactly
matched reference data (ΔX,Y,Z
0.7).
Hereby the represented spectrophotometer suits demands of
pulp and paper industry in the laboratory control of paper coloring processes.
It can be either used for a monitoring of the paper toning and (at the
appropriate calibration) photo-optical bleaching.
It is also interesting to elaborate the industrial
spectrophotometer based on the represented device. This spectrophotometer can
be directly installed near the papermaking machine and provide the monitoring
of paper bleaching, toning and
coloring processes.
Literature:
1. ГОСТ 30113–94 (ИСО 2470-77).
Бумага и картон. Метод определения белизны. – Введ. 01.01.1997. – Минск:
Межгос. совет по стандартизации, метрологии и сертификации; М.: Изд-во
стандартов, 1996. – 7 с.
2. BASF – The
Chemical Company: Integration of Ciba [Electronic resource] – Mode of access: http://report.basf.com/2009/en/managementsanalysis/segments
/performanceproducts/ciba.html, free. Eng. (Date of access: 05.05.2013).
3. Datacolor Elrepho [Electronic
resource] – Mode of access: http://industrial.datacolor.com/products/,
free. Eng. (Date
of access: 05.05.2013).
4.
Белов Н.П., Грисимов В.Н., Шерстобитова А.С., Яськов
А.Д. Моделирование интегрирующей сферы с экраном // Известия ВУЗов.
Приборостроение. – 2013. – Т. 56, № 5. – С. 25-30.