ГРНТИ: 29.05.19 – Специальная
теория относительности
ВАК РФ: 01.04.02; 01.02.01
УДK: 530,12: 531,18
УДК: 530,12: 531,551
УДК 530.3.
29.00.00 Фундаментальная
физика
УДК 530.18 (УДК 530.10(075.4))
Яловенко С.Н.
Рассматривается
природа физических явлений - гравитации, инерции, строение галактик с позиции
эфирной теории.
Ключевые
слова: теория относительности, гравитация, инерция, чёрная дыра, галактика,
плотность.
Author Yalovenko S. N.
Examines
the nature of physical phenomena - gravity, inertia, the structure of galaxies
from the position of the ether theory.
Keywords:
theory of relativity, gravity, inertia, black hole, galaxy density.
Чёрный предел. Часть 14.1.
Природа
физических явлений с позиции эфирной теории.
Для облегчения понимания физической
природы гравитации представьте среду аналогичную воздуху (воде). Любая среда
характеризуется плотностью - количеством элементов среды в объеме –q(v). Зададим
вопрос - каковы пределы изменения этой плотности? Получим ответ - плотность
меняется от (∆q до N). Гравитация в эфирной теории рассматривается как
изменение плотности эфирной среды созданная сумой водоворотов элементарных
частиц и поэтому зависит от пределов плотности среды от (∆q,N) как показано
на рис.1.2.3.
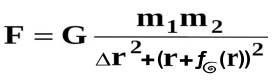
Классическая формула (1) гравитации не
отвечает этим представления
(1)
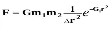
Она
была заменена формулой(2)
(2)
где
∆r – величина, ограничивающая сжатие тела.
Сжать
меньше элемента среды эфира не возможно, это ограничение по нижней плотности
среды эфира ∆q, где плотность меняется от ∆q до N.
В
дальнейшем формула гравитации (2) была расширена до формулы гравитации (3).
(3)
где ƒ( r ) –
функция вызванная вращением элементарной частицы и отражает ограничение по
верхней плотности эфирной среды N, где плотность
меняется от ∆q до N. Плотность водоворота буде стремится к максимальной
величине - N.
В дальнейшем была выдвинута гипотеза, что мы имеем
дело с нормальным законом распределения плотности сверх текучего эфира
создаваемой суммой водоворотов, по аналогии с создание водоворотов в
сверхтекучих жидкостях возникающих при низких температурах. Вследствие чего
гравитация имеет нормальный закон распределения и записывается формулой (4).
(4)
Квадратурный закон гравитации был принят ошибочно
из-за зоны совпадения с нормальным законом распределения рис.3. На рис.3. зона
совпадения обозначена цифрой - 1.

Рис.1.Взаимодействие двух водоворотов.
Аналог гравитационного взаимодействия.

Рис.2.Модель гравитации зависимости от плотности
среды.

Рис.3.
Нормированные графики законов гравитации и заряда.
В эфирной теории гравитация и электромагнетизм связаны
и имеют одного носителя, но скорость их распространения разная рис. 4,5,6. Так
гравитационная волна - это передача изменяющейся плотности эфира – аналог
звуковой волны рис. 4,5. Электромагнитная волна - это передача диполя эфира
рис. 5,6 аналог передачи дипольного момента в среде. Модель хорошо описывается
передачей положения стрелки компаса выстроенной в цепочку, изображённую на
рис.5,6.

Рис.4. Распространение гравитационных волн, как
изменение эфирной плотности среды.

Рис.5.Модель распространения электромагнитных волн,
как распространения аналога диполя среды на фоне гравитационных волн.

Рис.6. Модель распространения электромагнитных волн,
как распространения диполя эфирной среды
Модели распределения планет в солнечной системе, с учётом изменения плотности эфира, можно представить, как показано на рис.7-12. На рисунках показано, что плотность эфира изменяется от ∆q =G2 1/∆r2, до N (где G2 - коэффициент пропорциональности) и связана с гравитацией.



Рис.7.Схожесть водной водоворотной модели с солнечной
водоворотной моделью распределения планет.

Рис.8.Распределение планет от солнца по нормальному
закону.

Рис.9. Распределение планет от солнца, которые попадают
в квадратурную зону совпадения с нормальным законом распределения.

Рис.10. Положение планет от солнца в зависимости от
плотности эфира.

Рис.11.Связь между гравитацией и плотностью эфира.

Рис.12.Планеты в разной плотности эфира от солнца
Изменение плотности в галактике определяется
количеством чёрных дыр в её ядре находящихся на разных стадиях сжатия. При
сжатии вещества в чёрную дыру гравитация от сферической (круговой) формы
переходит в плоскость (стремится к равномерному распределению). Гравитация
чёрной дыры имеет спиралевидную форму и задает распределение звёзд в галактике.
Гравитация чёрной дыры состоит из двух составляющих. Первое - из плоскостной
горизонтальной гравитации FE
создающейся электрической составляющей водоворотных частиц. Второе - из
вертикальной гравитации FH
создающейся магнитной составляющей водоворотных частиц и перпендикулярной
электрической (FE). Графически
изменение плотности в галактике изображено на рис.13-19.
Обобщенные формулы перехода от квадратурного распределения
к нормальному закону распределения можно записать как:


Рис.13. Усредненное статистическое изменения плотности
эфира (гравитации) в галактике. Вид сбоку.

Рис.14. График усредненной статистической плотности
эфира в галактике. Вид сбоку.

Рис.15.График изменения суммарной гравитации в
галактике. Срез галактики

Рис.16. График изменения усредненной статистической
суммарной гравитации в галактике.
Вид изменения суммарной плотности эфира сбоку галактики.

Рис.17.Вид изменения плотности чёрной дыры эфира внутри галактики в полярных координатах. Срез
галактики.

Рис.18. Вид изменения усредненной плотности эфира
внутри галактики без FH.составляющей.
Срез галактики.

Рис.19. Вид изменения усредненной плотности эфира
внутри галактики в полярных координатах. Срез галактики.
Так как гравитация создается суммарной плотность от
элементарных частиц, представленных как свернутые водоворотом синусоиды рис.20,
то в галактике могут создаваться пучности гравитации, что ведет к скоплению
звезд в этих пучностях рис.21.

Рис.20. Формирование частиц из света

Рис.21. Образование гравитационных пучностей (ям) в галактике со скоплением звёзд
Несколько спиралей в галактике означает наличие
нескольких чёрных дыр (создающих эти спирали), вращающихся вокруг общего
центра.
Из-за изменяющейся плотности эфира можно объяснить
связь между гравитацией и инерцией тела. Та в эксперименте с лифт - ракетой
рис.22. возникает гравитация без присутствия притягивающего тела. В эфирной
теории гравитация возникает всегда, когда происходит изменение плотности эфира
по отношению к другому телу. Поэтому инерция рассматривается как явление
возникающее при ускорении тела за счет изменения плотности эфира позади тела и
создающийся из-за этого эффект притяжения аналогичный гравитации. Такие явления
(аналогичные) возникают в сверхтекучих средах при ускорении в них тела. Природа
гравитационной массы и инерционной одна и та же – это изменение плотности среды
эфира, который является сверхтекучей средой.
Любое ускорение материального тела создает изменение
плотности эфира вокруг него, следовательно, гравитацию.
В отличие от гравитации материального тела, гравитация
которого сферична, гравитация при инерции имеет направленной действие, из-за
того, что изменение плотности эфира создаётся в определённом векторном
направлении.
Так изменение плотности эфира создаваемое телом при
движении изображено на рис.23-26. Отметим, что при равномерном движении
изменение плотности не происходит, но при этом сохраняется созданная впереди
тела волна рис.26. При повторном ускорении надо будет ускорять не только тело,
но и волну впереди него, которая сохраняется в сверхтекучей среде. Такие
явления происходят в сверхтекучей жидкости, которой и является эфир. В бытовых
условиях, когда вы бежите в воде вам нужно перемещать не только своё тело, но и
волну в впереди себя, которая может многократно превышать вес вашего тела, но
из-за трения (потерь) среды эти эффекты не так выражены. Среда не является
сверхтекучей как эфир и принцип подобия не так четко выражен, как при низких
температурах, где среда ближе к эфирной и возникает сверхтекучесть. Подобные
эксперименты ставились на воде и при ускорении из-за изменения плотности позади
тела, возникает подобие гравитации – инерция, имеющая направленное векторное
действие. Такая модель хоть и приближено (из-за сопротивления, вязкости и
т.д.), но дает представление о схожести процессов и делает их зрительными,
наполняя образами, облегчающими понимания явлений физики. Ранее они описывались
расширенными формулами теории относительности рис.27. и графиками рис.28.

Рис.22.Связь между гравитационной и инертной массой
через изменение плотности эфира.

Рис.23.Изменение плотности эфирной среды при движении.

Рис.24. Изменение плотности эфирной среды при
движении.

Рис.25. Изменение плотности эфирной среды при движении
и размера тела во взаимосвязи при V→Ссвета.

Рис.26. Изменение массы, это сопротивление
сверхтекучей среды – эфира.


Рис.27. Расширенные, упрощенные формулы теории
относительности, с ограничением по скорости - Ссвета, массе – Мчёрной
дыры, длине - Lсига.
В эфирной теории время
в каждой точке пространства своё и зависит от плотности эфира в этой точке
пространства, следовательно, t(q) время есть функция плотности эфира. Ранее время
определялось, как соразмерность частотных процессов или измерение одних низко
частотных колебательных процессов с помощью других высоко частотных, что
означает, что в каждой точке пространства колебательные процессы будут различны
- часы будут показывать разное время из-за разной плотности среды. В теории
относительности время, это четвертое измерение и лишено физической
интерпретации, как и четырёхмерная пространственно временная модель. Эфирная
теория придерживается классических воззрений на пространство – оно трехмерно, а
время характеризует свойства этого трёх мерного пространства и зависит от его
плотности. Можно сказать, время измеряет плотность этого пространства,
плотность эфира. Эфирная теория хорошо моделируется водными моделями. Так время
маятниковых часов разное в воде и на воздухе из-за плотности среды, по аналогии
с эфирной средой можно использовать принцип подобия.



Рис.28. Расширенные графики теории относительности.
Так через изменение плотности эфира можно объяснить
многие явления физики (используя принцип подобия) и наполнить физику физическим
смыслом и физическими образами, облегчающими понимание физических процессов.
Список
используемой литературы:
1. А.
Эйнштейн, А. Теория
относительности [Текст] / А. Эйнштейн. – Научно-издательский центр "Регулярная и хаотическая
динамика", 2000.
2. Ацюковский,
В. А. Общая эфиродинамика.
Моделирование структур вещества и полей на основе представлений о газоподобном
эфире [Текст] / В. А. Ацюковский. – М.: Энергоатомиздат, 1990.
3. Яловенко, С. Н. Чёрный
предел. Теория относительности: новый взгляд [Текст] / С. Н. Яловенко. – ТОВ издательство «Форт», 2009. ISBN 978-966-8599-51-4
4.
Яловенко, С. Н. Фундаментальная
физика ... LAP LAMBERT Academic
Publishing (06.08.2013 ) 180 страниц, Pubblicato il: 06.08.2013 ISBN: 978-3-659-43971-1