Селиванова З.М., Иванов С.В.
Тамбовский
государственный технический университет, Россия
Математическая модель измерительного канала при дистанционном контроле
теплофизических свойств материалов информационно-измерительной системой
Среди актуальных в настоящее время проблем важное место занимает проблема дистанционного контроля параметров выпускаемой продукции непосредственно в производственном цехе при критичных условиях окружающей среды, определяемых в течении производственного процесса изготовления изделий. В связи с этим ставится задача разработки информационно-измерительной системы, способной осуществлять оперативный и точный контроль дистанционно в динамическом режиме в процессе производства изделий для уменьшения количества выпускаемой продукции, не соответствующей нормативным требованиям [1]. Основным этапом в решении поставленной задачи является математическое моделирование измерительного канала информационно-измерительной системы дистанционного контроля теплофизических свойств материалов и изделий с целью уменьшения погрешности измерений при оперативном контроле.
Процесс измерения теплофизических свойств материалов начинается с теплового воздействия линейного нагревателя измерительного зонда на поверхность исследуемого материала или изделия. Принципом действия измерительного канала информационно-измерительной системы является регистрация температурно-временных характеристик в плоскости контакта измерительного зонда и исследуемого объекта с последующим усилением, аналогово-цифровым преобразованием и дистанционной передачей.
В общем случае математическую модель измерительного канала с детерминированными параметрами и аддитивными помехами можно представить в виде
![]()
где y(t) – математическая модель измерительного канала информационно-измерительной системы дистанционного контроля теплофизических свойств материалов, c(t) – процесс, зависящий от сигнала, подаваемого на вход измерительного канала, Ek(t) – случайный процесс, не зависящий от сигнала, который моделирует аддитивную помеху или шум, t – время.
Процесс c(t), зависящий от сигнала измерительного зонда информационно-измерительной системы дистанционного контроля имеет вид
![]()
где T(x,t) – математическая модель сигнала измерительного зонда информационно-измерительной системы дистанционного контроля, h(t) – функция, описывающая преобразование сигнала T(x,t) в измерительном канале, Ky – коэффициент усиления усилителя, N(t) – процесс, описывающий искажения усилителя измерительного канала.
В качестве случайного процесса Ek(t), не зависящего от сигнала T(x,t), можно использовать модель шума в виде аддитивной смеси узкополосных случайных процессов вида
![]()
где a(t) и φ(t) – случайная амплитуда и фаза помехи соответственно.
Таким образом, аналитическая запись математической модели измерительного канала информационно-измерительной системы дистанционного контроля теплофизических свойств материалов будет иметь вид
![]()
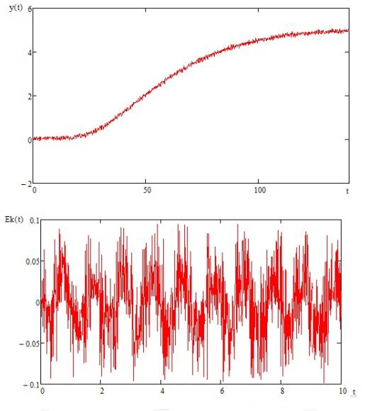
Для визуализации результатов моделирования измерительного канала информационно-измерительной системы была использована программа MathCAD. Представлены график зависимости измеряемого сигнала на выходе измерительного от времени y(t) и форма аддитивной помехи Ek(t).

Рис. 1. Результаты моделирования измерительного канала в среде MathCAD.
Разработка математической модели измерительного канала при дистанционном контроле теплофизических свойств материалов информационно-измерительной системой, позволяющей анализировать и прогнозировать процесс контроля, повысить точность контроля в результате коррекции результатов измерения при воздействии внешних и внутренних помех, способствует повышению качества продукции.
Литература:
1. Селиванова, З.М. Интеллектуализация информационно-измерительных систем неразрушающего контроля теплофизических свойств твёрдых материалов. М.: «Издательство Машиностроение-1», 2006. 184 с.