Макаренко Р.Ю., Стульба М.А., Гурвич Ю.А.

Белорусский Национальный Технический Университет

ВЛИЯНИЕ НЕЙТРОННОГО ОБЛУЧЕНИЯ НА ПРОЧНОСТЬ ЭЛЕМЕНТОВ КОНСТРУКЦИЙ

Огромное число экспериментальных работ связанных нейтронным облучением показали заметные изменения как химических, так и механических свойств материалов, которые являются трудно восстановимыми и сохраняются в течение длительного времени. Это обстоятельство послужило основополагающим фактором в разработке новых методов расчета элементов конструкций и сооружений, подвергающихся нейтронному облучению (атомные реакторы, искусственные спутники, космические корабли и станции).

Анализ достижений в области радиационного нагружения

Наиболее полный перечень работ, касающихся изменения свойств материалов под действием радиоактивного облучения, с описанием некоторых физических механизмов этого явления содержится в обзорах Ф.Бовии и B.C.Ленского. В работе B.C.Ленского предложено обобщение теории малых упругопластических деформаций на случай неоднородности среды, обусловленной неравномерностью радиационного облучения.

Ю.И.Ремнев рассмотрел связь между напряжениями и малыми деформациями в кристаллическом твердом теле при объемном расширении, вызванном облучением тяжелыми частицами, и предложил ряд гипотез, позволяющих определить это расширение. А.А.Ильюшин и П.М.Огибалов предложили методы расчета прочности оболочек толстостенного цилиндра и полого шара. Как и в работах Ю.И.Ремнева, здесь принималось, что падение потока нейтронов пропорционально энергии и толщине слоя, а свойства тела в данной точке зависят от дозы облучения в этой точке. А.Г.Журавлев в своих работах, связанных с определением напряженно-деформированного состояния легких металлов при облучении, пренебрегал возникающей в теле неоднородностью упругих свойств. Особенностям поведения нержавеющих сталей в условиях терморадиационного воздействия посвящены работы B.C.Ленского, Ш.Ш.Ибрагимова, А.А.Ильюшина, С.Т.Конобеевского, И.С.Куликова, Г.С.Писаренко, В.А.Цыканова, А.М.Шалаева и др. Различные аспекты теоретических и экспериментальных методов оценки прочности конструкций, подверженных терморадиационному воздействию, рассмотрены в работах В.Д.Балдина, B.JI.Решетина, O.K.Чугунова и др.

Численному моделированию изменения напряженно-деформированного состояния элементов конструкций из нержавеющих сталей при терморадиационных воздействиям посвящены работы В.Н.Маневского, B.C.Рубцова, В.В.Сараева, Е.Н.Синицына, А.А.Тутнова и др. В недавнее время большой вклад в развитие методов и моделей оценки прочности конструкций находящихся под действием нейтронного облучения внесли С.А.Капустин и В.А.Горохов.

Эмпирическая зависимость приращения радиационного распухания материалов

D:\Documents\Desktop\Screenshot_2.jpgПриращение распухания материала находиться по известным эмпирическим зависимостям:                                 ,                           (1)

D:\Documents\Desktop\Screenshot_7.jpgгде                   - интегральный поток нейтронов с E > 0,1МэВ (или число смещений на атом). В работе В.Н.Быкова и др. соотношение между приращением объема материала в результате развития пористости, температурой и дозой облучения предлагает выражать уравнением:

S=g(T)f(Kt),                                                                (2)

где g(T) и f(Kt) - функции, описывающие зависимости распухания от температуры и дозы облучения. При обработке экспериментальных данных полученных для выражения (3) было установлено, что распухание стали ОХ16Н15МЗБ в исследованных интервалах температур (от 430 до 580 °С) и доз облучения (от 0,7*1022 до 3,5*1022 нейтр/см2) может быть достаточно надежно описано уравнением:

D:\Documents\Desktop\Screenshot_8.jpg                                                                                                     . (3)

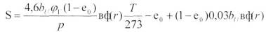
D:\Documents\Desktop\Screenshot_1.jpgПри рассмотрении тел цилиндрической геометрии изготовленных из ураносодержащих материалов, существует иная форма записи зависимости радиационного распухания материала от температуры и флюенса нейтронов:

                                                                                                              ,                                                              (4)

где е0 - объемные доли полости; (1 - е0) - объемные доли материала; ρ(кг/см2) - давление газообразных продуктов в полости, уравновешенное сопротивлением материала матрицы и внешним давлением рвн (силами поверхностного натяжения и поправкой на не идеальность пренебрегаем в силу их незначительности для развитой стадии распухания); Т - температура рассматриваемой ячейки, °К; вф - глубина выгорания, %; в - скорость выгорания, %/ч; bU - доля делящихся ядер в решетке ураносодержащего материала; φт - количество полостей от всего количества образо­вавшихся газообразных продуктов.

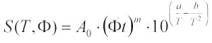
D:\Documents\Desktop\Screenshot_1.jpgРядом авторов на основе обработки экспериментальных результатов предложены эмпирические зависимости для определения радиационного распухания конструкционных сталей:                                                      ,         (5)

где А0, m, а, b - некоторые константы, определяемые экспериментально.

D:\Documents\Desktop\Screenshot_2.jpgТогда было сделано предположение, что для практических расчетов целесообразно применять следующую зависимость для распухания стали ОХ16Н15МЗБ:                                                                           ,            6)

где Фt - число смещений атомов, соответствующих данному флюенсу нейтронов.

Из проблем, связанных с радиационным распуханием стали, знание которых в значительной мере определяет правильность прогнозирования и оценки работоспособности тел цилиндрической геометрии, стоит выделить:

1) экстраполяция распухания на большие интегральные потоки быстрых нейтронов до 3*1023нейтр/см2 (с Е>0,1 МэВ) и возможные эффекты насыщения распухания; 2) влияние холодной деформации и напряжений; 3) влияние переходных режимов работы - внезапное изменение температуры облучения или интенсивности потока нейтронов.