Стульба М.А., Макаренко Р.Ю., Гурвич Ю.А.
Белорусский Национальный Технический Университет
ОЦЕНКА НАПРЯЖЕННО-ДЕФОРМИРОВАННОГО
СОСТОЯНИЯ ПРИ РАЗЛИЧНОЙ ИНТЕНСИВНОСТИ ПОТОКА ФЛЮЕНСА НЕЙТРОНОВ
Упругое напряженно-деформированное состояние
цилиндрических тел, находящихся под действием внутреннего давления,
характеризуется тремя главными напряжениями уr, уи и уz, имеющими различные
значения и знаки. В целях упрощения рассматриваются два предельных случая:
цилиндр бесконечно большой длины и цилиндр бесконечно малой длины. Первый
случай составляет задачу плоских деформаций, а второй - плоских напряжений.
Постановка задачи В случае длинного
цилиндра, температура в стенках которого изменяется по толщине и постоянна по
длине, можно положить еz=const. Влияние температуры и нейтронного облучения в этом случае учитывается
добавлением к упругим деформациям деформаций вызванных температурным и
нейтронным расширением тел. Тогда приращение полной деформации запишется в виде:
,
где e - полная деформация, ee - упругая деформация, еT - деформации, вызванные термическим расширением, es - деформации, вызванные радиационным
распуханием.
Уравнения для случая плоских деформаций
при осесимметричной постановке задачи, когда напряжения и деформации зависят от
r, могут быть получены из уравнения равновесия и
деформаций, где принимают ег, еи и еz - деформации, а уr, уи и уz - напряжения.
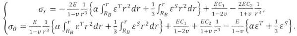
Вывод разрешающих уравнений
Воспользуемся соотношениями,
представленными в работе, где были выведены выражения для определения
радиальных, окружных и осевых напряжений, возникающих в телах сферической (7) и
цилиндрической (8) геометрии от действия силовой и терморадиационной нагрузки:

(7)

(8)
где E - модуль Юнга; ν - коэффициент Пуассона; εT - деформации, вызванные воздействием
температуры; es - деформации, возникающие за счет действия
потока нейтронов; r - текущий радиус; RH и RВ - соответственно наружный и внутренний
радиус; С1
и С2 - некоторые константы, значение которых определяется из граничных
условий.
Учитывая, что элементы
конструкций, подвергаемые воздействию силовой и терморадиационной нагрузки,
зачастую имеют форму сплошной сферы (цилиндра) и полой, граничные условия
принимают различный вид для топлива (9) и для оболочки (10):
(9)
![]()
(10)
где Рн и Рв - соответственно наружное и внутреннее давления.
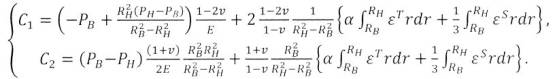
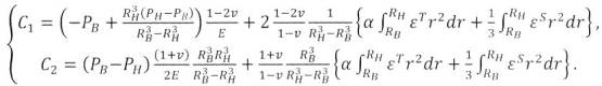
Для первого случая
константы С1
и С2 определяются из выражения (11) сферы, а для цилиндра - (12):
(11)

(12)
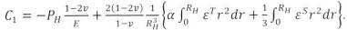
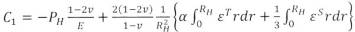
При определении констант
для сплошного тела нижний предел интегралов можно считать равным нулю. Это
означает, что константу С2 можно принять равной нулю. Константа С1
определяется выражением (13) для сферического тела, для цилиндрического - (14):
(13)
(14)
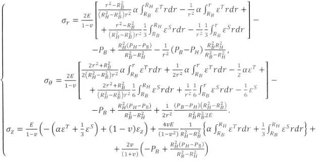
Рассмотрим более подробно случай полого
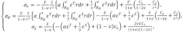
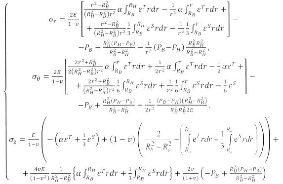
цилиндра. С учетом граничных условий напряжения примут вид:

(15)

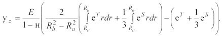
Для определения значения
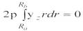
меридионального напряжения необходимо знать продольную деформацию еz, которую находят, приравнивая нормальную силу к величине продольной
нагрузки или к нулю, когда продольная сила отсутствует, т.е. в нашем случае: . Произведя
интегрирование, получим:
(16)
после чего меридиональное напряжение будет определяться выражением:

(17)
С
учетом условий (17) перепишем выражение (15) в следующем виде:
(18)
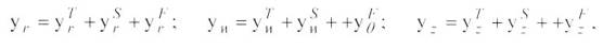
Как
видно из этого выражения каждое из главных напряжений представляет собой сумму
отдельных напряжений возникающих от действия высокой температуры и облучением
потоком флюенса нейтронов. С учетом сказанного, выражение (18) можно записать в
сокращенной форме:
(19)
где - составляющие главных
напряжений, вызванные соответственно силовым, тепловым и радиационным
воздействием (i = r, и, z).
Значения легко
прослеживаются из выражения (18).