Лаптанович
Д.М., Путят В.А., Карташевич Е.Л., Гурвич
Ю.А.
Белорусский
Национальный Технический Университет
ИССЛЕДОВАНИЕ АВТОКОЛЕБАНИЙ ПЕРЕДНЕГО
КОЛЕСА В ТРЕХКОЛЕСНОМ ШАССИ САМОЛЕТА
В данной работе исследуется шимми переднего колеса
трехколесного шасси самолета Як-40. Вывод уравнений шимми основан на изучении
упругой деформации пневматика и на гипотезе о качении пневматика при
произвольной его деформации.

Рисунок 1 - Схема стойки: q - угол поворота стойки
относительно своей оси; t – вынос колеса; l -
опорная длина; y - угол поворота стойки
относительно оси у; d - угол поворота стойки
в продольном направлении
Рассмотрим случай, когда стойка
жесткая δ = ш = 0 (Рис.1), которая описывается системой
дифференциальных уравнений
![]()
![]()
![]()
![]()
где h - коэффициент демпфирования;
-
кинематические коэффициенты; V - скорость
самолета;
- момент
инерции,
- линейное и
угловое перемещение.
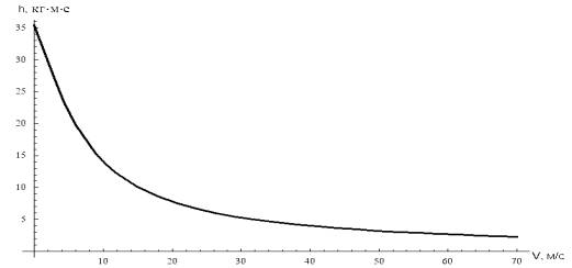
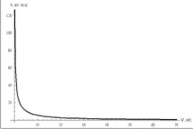
Исследуем характер зависимости
необходимого демпфирования от скорости самолета в четырех случаях:

Рисунок 2 - График
зависимости h от V при t=0 м

Рисунок 3 - График
зависимости h от V при t=0.2 м

Рисунок 4 - График зависимости
h от V при t=0.3 м

Рисунок 5 - График зависимости
h от V при t=-0.235 м
При выносе колеса вперед или при выносах
назад до
м наступление
шимми может быть предотвращено постановкой демпфера, создающего демпфирующий
момент при вращении стойки вокруг оси.