ВЛИЯНИЯ УЛЬТРАЗВУКА
НА РЕЛАКСАЦИОННЫЕ ХАРАКТЕРИСТИКИ МОП СТРУКТУР
Кучкаров
Б.Х., Мамаджанов Д.Н, Власов С.И.
Национальный Университет Узбекистана. НамГУ.
baron_3993@mail.ru
Структуры типа металл - диэлектрик -
полупроводник (МДП) на основе кремния в настоящее время являются основой
широкого класса полупроводниковых приборов и структурных элементов интегральных
схем. При этом, характеристики границы раздела, полупроводник - диэлектрик,
являясь наиболее чувствительными к внешним воздействиям, могут оказывать существенное
влияние на параметры изготавливаемых приборов и структурных элементов [1,2].
Целью настоящей работы являлось исследование влияния ультразвукового
воздействия на динамику процессов релаксации к равновесному состоянию
трехслойной структуры, после приложения импульса инверсионного напряжения. Трехслойные структуры изготавливались путём
нанесения стекла на
подложку Si, (n - типа проводимости), с кристаллографической ориентацией
<100>. Нанесение стекла осуществлялась при помощи электрофореза из
суспензии, содержащей мелкодисперсную шихту стекла (SiO2-PbO-В2О3-
Al2O2-Ta2O5) и изопропилиновый спирт, с последующим оплавлением при
температуре 670 - 680 градусов и отжигом в бескислородной атмосфере.
Толщина полученных слоев стекла составляла d = (2 ± 0,2)х10-4 см.
Управляющий электрод (на поверхности стекла) и омический контакт (на
тыльной поверхности пластин кремния) изготавливались при помощи
вакуумного осаждения алюминия. Диаметр управляющих электродов - 3 мм.
Изготовленные структуры подвергались облучению продольными
ультразвуковыми волнами частотой 2,5 мГц мощностью 0,5 Вт, в течении 40
минут, т.е. использовалось воздействие, аналогичное описанному в [3]. В
качестве основного метода исследования использовался метод
изотермической релаксации емкости структуры металл -
диэлектрик -полупроводник в процессе увеличения заряда инверсионного слоя
[4-6]. Согласно этому методу, изотермическая релаксация емкости структуры МДП,
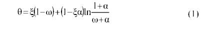
в безразмерных координатах, описывается при помощи следующего выражения

Здесь:
-
безразмерное время релаксации (t- мгновенное
значение времени релаксации емкости структуры;
; здесь
Nм, Nг, - концентрация мелкой и глубокой примеси в
полупроводнике соответственно ;
коэффициент теплового выброса электронов из
валентной
зоны на глубокий энергетический
уровень [90]; ![]()
нормализованная толщина слоя объемного заряда
полупроводника, равная отношению W(t)/WH; WH- начальная (в первый момент
времени, после приложения импульса инверсионного напряжения) толщина слоя
объемного заряда полупроводника; W(t)- значение толщины слоя объемного заряда
полупроводника в данный момент времени; CH- начальное значение емкости
структуры металл - стекло- полупроводник, С 0 - емкость слоя стекла, С(t) -
значение емкости структуры в данный момент времени;
(js - поверхностная составляющая
генерационного тока, jv- начальное (в первый момент времени) значение объемной
составляющей генерационного тока). В выражение (1) входит неизвестная величина,
равная отношению объемных и поверхностных составляющих скорости формирования
заряда инверсионного слоя. Для определения указанной величины, использовалось
сравнение расчетных и экспериментально измеренных релаксационных зависимостей.
При этом связь между расчетными и экспериментальными зависимостями релаксации
емкости устанавливалась при помощи следующих соотношений:

На рис.1 приведены релаксационные
зависимости емкости, одной из исследованных
нами структур, снятые в
темноте при температуре – 8 0С, после
переключения инверсионного напряжения от
8 до 20 В. Зависимость 1 - соответствует
контрольной структуре. Зависимость - 2
соответствует структуре подвергнутой
воздействию ультразвука. Из приведенных
зависимостей видно, что
емкость контрольной структуры быстрее релаксирует к своему равновесному
состоянию. В соответствии с существующими теориями, скорость формирования
заряда инверсионного заряда определяется концентрацией генерационных центров,
как в объеме полупроводника, так и плотностью состояний, локализованных на
границе раздела полупроводник-диэлектрик. Для определения вклада, в процесс
релаксации, поверхностных и объемных центров нами использовалась методика [5].
На рисунке 2 приведены расчетные (1-5) зависимости
от
,
вычисленные в соответствии с [5], для значений
по данным, приведенным на рисунке 1. Здесь же
показаны экспериментальные (6,7) кривые релаксации (построенные в безразмерных
координатах) для структур МСП, подвергнутых воздействию ультразвуком. Из
сопоставления полученных зависимостей видно, что в структурах, подвергнутых
воздействию ультразвуком, поверхностная составляющая скорости
формирования заряда инверсионного
слоя меньше
чем в
контрольных структурах, для которых
. На
основании приведенных
результатов можно сделать следующий
вывод: ультразвуковая обработка
структур А1 - n - Si) - стекло - А1,
частотой 2,5 мГц мощностью 0,5 Вт, в
течении 40 минут приводит к
уменьшению скорости формирования
заряда инверсионного слоя. Это обусловлено уменьшением интег
ральной плотности электронных
состояний, локализованных на межфазной границераздела полупроводник-стекло. Указанные
режимы ультразвукового воздейст-вия можно использовать при изготовлении
полупроводниковых приборов со структурой МДП, для повышения их быстродействия.
Литература
1. Першенков
В.С, Попов В.Д., Шальнов А.В. Поверхностные радиационные
эффекты в ИМС. - М; Энергоатомиздат, 1988. С 1 87.
2. Чистов
Ю.С., Сыноров В.Ф.. Физика МДП-структур. Воронеж; ВГУ, 1986.
156.
3. Власов СИ., Овсянников А.В., Исмаилов Б.К. , Кучкаров Б.Х.
Влияние ультразвуковой обработки на скорость
формирования заряда инверсионного слоя в структурах металл- стекло-
полупроводник. Материалы международной научно-практической конференции.
Структурная релаксация в твердых телах. Винница, 2012. С 234-236.
4. Зайнабидинов С.З., Власов СИ., Насиров А.А.
Неравновесные процессы награнице раздела полупроводник-диэлектрик. - Ташкент,
Университет. 1995. - С 113.
5. Абдурахманов К.П., Берман Л.С, Власов СИ., Котов
Б.А. Исследование неконтролируемых глубоких центров в структурах металл-диэлектрик-полупроводник
емкостным методом.ФТП. т. 13 вып.7. 1979г. стр. 1447-1450.