Сельское
хозяйство/ Механизация сельского хозяйства
Асс.
Сидоренко И.Д.
Южный
филиал Национального университета биоресурсов и природопользования Украины
«Крымский агротехнологический университет», Украина
Математическая модель процесса каплеобразования
во вращающемся
тарельчатом распылителе
Решение практических задач по распыливанию
жидкости вращающимся распылителем требует определения радиуса и числа оборотов
рабочего элемента, которые обусловливают диаметр образующихся капель.
При работе распылителя, применяемого на
аэрозольном генераторе АГВ-600, рабочий раствор притекает на вращающуюся
тарелку непрерывным потоком. Рабочий элемент имеет гладкую поверхность, на
которой образуется жидкостная плёнка, являющаяся сплошной. Для упрощения
описания течения жидкости по тарелке распылителя, вращающегося с угловой
скоростью ω, может быть принята
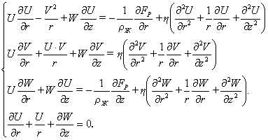
за основу система уравнений Навье-Стокса в цилиндрических координатах r, φ, z, которая в предположении
осесимметричности течения рабочего раствора имеет вид [1]:
– обозначим данную систему
(1),
где η – кинематическая вязкость
жидкости, м2/c;
ρЖ – плотность жидкости, кг/м3;
Рr, Рφ, РZ – проекции массовых сил на координатные оси, Н/кг;
τ – время, с;
FP – давление, Па.
Радиальная составляющая скорости U
направлена по радиусу тарелки, осевая W – вдоль оси тарелки перпендикулярно радиальной и
окружной составляющим, линейная υ
и окружная V – по
касательной к окружности кромки тарелки.
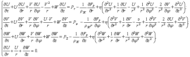
Так как движение рабочего раствора вблизи
вращающейся тарелки является установившимся и осесимметричным, производные по
времени и по координате φ, а
также массовые силы равны нулю (
), (
). В этом случае система
уравнений Навье-Стокса в цилиндрических координатах принимают вид [2]:
. (2)
Для того, чтобы правильно произвести
расшифровку уравнений Навье-Стокса, необходимо рассмотреть схему сил,
действующих на плёнку во время течения жидкости по поверхности вращающейся
тарелки (рис.2).

Рис. 2. Схема сил, действующих
на плёнку во время течения жидкости по поверхности вращающейся тарелки
Во время течения по поверхности
вращающейся тарелки на некоторый объём рабочего раствора массой m действуют центробежные силы,
возникающие в результате совершения двух видов движений - переносного Fц.п. и относительного Fц.отн.. Первое слагаемое в
левой части первого уравнения системы Навье-Стокса (2) представляет собой
центробежное ускорение относительного движения жидкости
в проекции на ось r. На одной линии с центробежной силой
относительного движения Fц.отн. действует центростремительная сила Fцс,
создающая центростремительное ускорение ацс
(второе слагаемое первого уравнения). В проекции на ось r эта величина равна
Центростремительное
ускорение направлено в сторону, противоположную центробежному ускорению
относительного движения
. Третье слагаемое
представляет собой
ускорение силы тяжести, равное произведению ускорения земного притяжения и
проекции центробежного ускорения на ось z. При умножении всех слагаемых левой части первого
уравнения системы Навье-Стокса на некоторый объём жидкости массой m получаем выражение математического
описания сил, действующих на жидкость при относительном движении по поверхности
тарелки:
(3)
Однако при течении по вращающемуся
элементу жидкость также совершает переносное движение.
При составлении второго уравнения системы
Навье-Стокса (2) производные берутся от окружной составляющей V скорости неинерциальной системы
отсчёта в проекции на координатные оси r и
z.
Первое слагаемое
равно произведению
радиальной составляющей U скорости
движения жидкости и проекции окружной скорости V вращения тарелки на ось r
и представляет собой центробежное ускорение, порождаемое центробежной силой
переносного движения Fцп. Противоположно этой силе направлена Кориолисова сила
инерции FК. За счёт неё жидкость получает ускорение Кориолиса аК (второе слагаемое
второго уравнения), равное произведению скорости переносного вращательного
движения тарелки V и одновременного
движения частицы рабочего раствора относительно тарелки U в проекции на ось r.
Третье слагаемое второго уравнения
системы Навье-Стокса
(2) - ускорение касательного напряжения, образующего с вектором окружной
составляющей V скорости движения жидкости
угол θ. Умножив все эти
ускорения на массу капли m, получим
уравнение, представляющее собой сумму сил, действующих на каплю при переносном
движении:
(4)
Левая часть третьего уравнения равна сумме
ускорений силы тяжести
и реакции поверхности
тарелки
:
(5)
Так как толщина
жидкостной пленки, образующейся на поверхности тарелки, достаточно мала, то
граничными являются следующие условия:
- при высоте над уровнем поверхности
тарелки z=0 радиальная и осевая
скорости равны нулю U=0 и W=0, а окружная составляющая равна линейной скорости
движения капли и определяется по формуле V=ω·r.
В дальнейшем составлении математической
модели учитываем, что расстояние от оси вращения до местонахождения капли на
поверхности рабочего элемента r равно
радиусу тарелки RТ,
который принимается много больше радиуса RЖ
набегающей на диск струи, т.е. RТ>>RЖ.
С ростом текущего значения радиуса R0
убывают толщина плёнки жидкости b=b(R0) и осевая скорость течения W. В пределах этой области толщина плёнки b достаточно мала, радиальная скорость U имеет
заметные значения. Осевая составляющая W мала во всём
пространстве, поэтому она значительно меньше радиальной U. Тогда
(аналогично тому, как это принято в теории пограничного слоя) [3], можно
считать изменение скорости течения в
направлении оси z более
резким, чем в направлении оси r – радиуса
тарелки. Так как образование достаточно тонкой пленки возможно только при
существенно малой вязкости жидкости, в уравнениях системы (2) производными
скорости истечения рабочего раствора по r
в членах, содержащих вязкость, можно пренебречь. Сделанные допущения
позволяют значительно упростить систему уравнений движения (2). Двумя слагаемыми правой части и выражением в
скобках левой части третьего уравнения системы (2), содержащими бесконечно
малую осевую скорость W, можно
пренебречь. Из третьего уравнения системы (2) получим выражение (6):
(6)
Пренебрегая
производными по W и считая жидкость невесомой,
получим:
(7)
Следовательно, на поверхности плёнки
давление FP постоянное.
Таким образом, при
тождественном равенстве нулю третьего уравнения система (2), описывающая
движение жидкости по поверхности вращающейся тарелки, сводится к трём
уравнениям:
(8)
При работе вращающегося
распылителя, применяемого на аэрозольном генераторе АГВ-600, рабочий раствор
поступает на рабочий элемент в виде тонких нитей, которые впоследствии
растекаются по поверхности тарелки, образуя сплошную плёнку малой толщины b. В результате преобразований уравнений
Навье-Стокса с учётом условий распыливания и граничных условий установлено, что
сумма радиального и окружного ускорений на поверхности плёнки равна нулю:
. (9)
Таким образом, с помощью уравнений
Навье-Стокса был произведён кинематический анализ процесса механического
распыливания. Установлено, что на процесс дробления рабочего раствора быстро
вращающейся тарелкой из трёх составляющих ускорения движения жидкости влияют
радиальная и окружная. Если в уравнение (9) ввести величину динамической
вязкости жидкости ν и оба
слагаемых умножить на массу капли m, получаем выражение, представляющее
собой разность касательного напряжения
и центробежной силы
, направленной противоположно
центростремительному ускорению
:
(10)
Согласно теории пограничного слоя Г.
Шлихтинга, центробежная сила
должна быть равна радиальной составляющей касательного
напряжения ТW:
(11)
где drdS – площадь проекции капли на
плоскости:
(12)
В выражении (11) ω – угловая скорость вращения тарелки:
(13)
Касательное напряжение ТW приложено на единичную
площадку сечения, в плоскости сечения по касательной:
(14)
где
- площадь проекции капли на плоскость, м;
FК – сила, возникающая внутри
капли при деформации, являющаяся, по физическому смыслу, силой поверхностного
натяжения Fδ:
(15)
где δ – поверхностное натяжение
жидкости, Н/м.
Следовательно, формула касательного
напряжения имеет вид:
(16)
Подставив формулу (16) в уравнение (11), получаем:
(17)
Из выражения (17) можно выразить sinα:
(18)
Результаты испытаний аэрозольного
генератора АГВ-600 показали, базовый распылитель с тарелки радиусом RТ=0,04 м, вращающийся с угловой
скоростью ω=628 мин-1
и образовывать капли размером dm=112 мкм=112·10-6 м [5]. С учётом этих
показателей можно численно определить sinα:
Подставив значение sinα=1 в выражение (18), получаем:
(19)
Из уравнения (19) с учётом выражения (13) получаем формулу для вычисления диаметра капель:
(20)
Литература: