К.ф.-м.н. Саркисов С.Ю.1, к.ф.-м.н. Прудаев
И.А.1,
к.ф.-м.н. Кособуцкий А.В.2, д.ф.-м.н.
Толбанов О.П.1
1Национальный
исследовательский Томский государственный университет, Россия
2Кемеровский государственный
университет, Россия
Исследование спектров терагерцового
излучения гетероструктур InGaN/GaN при возбуждении фемтосекундными лазерными
импульсами
Применение методов лазерной импульсной
терагерцовой спектроскопии во временном представлении (THz-TDS) и эмиссионной терагерцовой
спектроскопии позволяет наблюдать сверхбыстрые процессы в полупроводниковых
структурах, связанные с динамикой носителей заряда, решеточных и
поляризационных колебаний. В объемных полупроводниках механизмы генерации
терагерцовых импульсов от поверхности установлены, имеются модели, описывающие
эти процессы (например, работа [1] и ссылки в ней). В квантово-размерных
структурах механизм генерации терагерцового излучения может быть более сложным,
чем в объемных полупроводниках. Например, в сверхрешетках причиной
возникновения терагерцовых импульсов могут быть блоховские осцилляции при
движении электронов в периодическом поле.
В недавних работах было установлено, что
облучение гетероструктур InGaN/GaN оптическими импульсами фемтосекундной длительности
сопровождается генерацией электромагнитного излучения в терагерцовом диапазоне частот
[2-4]. Предполагается, что основной причиной возникновения этой генерации
является динамическое экранирование встроенных пьезополей. В светодиодных
структурах с квантовыми ямами при резкой генерации электрон-дырочных пар они
разделяются встроенным электрическим пьезополем. При этом поле возникающего
диполя экранирует внутреннее пьезополе, возникает обратный пьезоэффект –
смещение атомов структуры. В результате последующей релаксации решетки
происходит интенсивная генерация оптических фононов, а также терагерцового
излучения.
Амплитуда терагерцового импульса в
значительной степени определяется напряженностью пьезоэлектрического поля [3, 4], поэтому соответствующие эмиссионные спектры несут важную
информацию об электронных и оптических свойствах гетероструктур. В
представленной работе выполнены измерения спектров генерации терагерцового
излучения для ряда образцов светодиодных гетероструктур InGaN/GaN при
возбуждении фемтосекундными лазерными импульсами на центральной длине волны 791
нм (т.е. двухфотонной генерации электрон-дырочных пар в квантовых ямах).
Измерения проводились для образцов 4-х типов, отличающихся количеством
квантовых ям InGaN. Образцы №№1-3 содержат
соответственно 1, 5 и 10 квантовых ям InGaN и были
специально выращены методами газофазной эпитаксии. Образец №4 (параметры
известны приблизительно) является коммерчески доступной светодиодной
гетероструктурой одного из ведущих мировых производителей. Полученные
результаты приведены на рис. 1, 2.

Рис. 1. Спектры терагерцовых
импульсов, полученных от гетероструктур InGaN/GaN при пиковых плотностях мощности возбуждающего
лазерного излучения, обеспечивающих максимальный уровень сигнала.

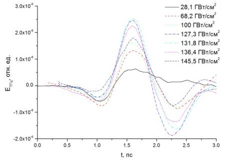
Рис. 2. Зависимость главного
максимума временной формы терагерцовых импульсов, полученных от образца №2, от
пиковой плотности мощности возбуждающего лазерного излучения
Как видно из представленных результатов, максимум
амплитуды терагерцовых импульсов для образца № 3 наблюдался при пиковой
плотности мощности 137,8 ГВт/см2, для образца № 2 – 127,3 ГВт/см2
, для образца № 1 – 60 ГВт/см2. Таким образом, с ростом количества
квантовых ям в образцах увеличивались как интенсивность генерации, так и
плотность мощности накачки, до которой наблюдался рост этой интенсивности.
Наиболее эффективная генерация наблюдалась в образце №4, для него максимум
интенсивности генерации был отмечен при пиковой плотности мощности лазерного
импульса 100 ГВт/см2.
В отличие от ранее выполненных работ [2-4],
наши измерения показывают не насыщение, а уменьшение сигнала с ростом плотности
мощности возбуждающего импульса. В [2-4] насыщение объясняется полной
экранировкой пьезополей при определенных уровнях плотности мощности накачки и
исчезновением поля, разделяющего носители. Уменьшение амплитуды терагерцового
сигнала с ростом плотности мощности накачки можно связать, например, с ростом
концентрации свободных носителей заряда в квантовых ямах и поглощением на них
генерируемого излучения. Также в некоторых случаях возможно влияние оптического
пробоя структур, который визуально наблюдался при плотности мощности около 150
ГВт/см2 для всех образцов, кроме образца №1. Для последнего пробой
наблюдался уже при 75 ГВт/см2.
Для интерпретации полученных данных в
ближайшее время будут проведены дополнительные исследования: сравнение
генерации в схемах с одно- и двухфотонным возбуждением, измерения спектров люминесценции с временным
разрешением, исследование дополнительных типов гетероструктур, например, не
содержащих эмиттерного слоя (с квантовыми ямами, расположенными на поверхности
образца).
Работа выполнена при
поддержке гранта РФФИ № 13-02-98019.
Список литературы
[1] Саркисов C.Ю., Кособуцкий А.В., Брудный В.Н.,
Каргин Н.Я. Генерация терагерцового излучения от поверхностей узко- и
широкозонных полупроводников, модифицированных путем радиационного
облучения //
Известия
вузов. Физика. – 2013. – Т. 56, № 8/3. – С. 201-204.
[2] Porte
H.P., Turchinovich D., Cooke D.G., Jepsen P.U. Terahertz study of ultrafast
carrier dynamics in InGaN/GaN multiplequantum wells // J. Physics: Conf.
Series. – 2009. – V. 193. – 012084.
[3]
Turchinovich D. , Monozon B.S., Jepsen P.U. Role of dynamical screening in
excitation kinetics of biasedquantum wells: Nonlinear absorption and ultrabroadband
terahertz emission // J. Appl. Phys. – 2006. – V. 99. – 013510.
[4] van Capel
P.J.S., Turchinovich D., Porte H.P., Lahmann S., Rossow U., Hangleiter A.,
Dijkhuis J.I. Correlated terahertz acoustic and electromagnetic emission
indynamically screened InGaN/GaN quantum wells // Phys. Rev. B. – 2011. – V.
84. – 085317.