Технические науки /1. Металлургия
к.т.н. Мальцев А. А.
МГТУ им Н.Э. Баумана, Россия
Прогнозирование ресурса работы
деталей металлургических машин
Современные стационарные и портативные системы диагностики и мониторинга технического состояния металлургического оборудования, в частности прокатных станов, имеют принципиальный недостаток ― неспособность предотвращать внезапные аварии, вызванные усталостным разрушением его высоконагруженных деталей.
Выработка ресурса деталью прокатного стана проявляется главным образом в накоплении необратимых повреждений, которые могут быть как механического, так и физико-химического происхождения. Многие виды повреждений носят смешанный характер. Из всех видов повреждений усталостное разрушение вызывает более 80% всех внезапных поломок деталей, поэтому задача предотвращения усталостного разрушения актуальна для любой металлургической машины [1].
Основой разработанной в МГТУ им. Н.Э. Баумана методики расчета усталостной долговечности является формула корректированной линейной гипотезы суммирования повреждений (КЛГСП). Эта гипотеза основана на предположении, что повреждение, вызванное циклом напряжения, зависит от состояния элемента (детали) в данный момент и от предыдущего ТС и суммируется с повреждениями, вызванными предыдущими циклами.
Разработанная методика
расчета усталостной долговечности проиллюстрирована на примерах автоматстана
220, трехвалкового стана 80, клети 350 сортового
стана, лабораторно-промышленного стана ДУО-140, а также
предварительно-напряженной клети ПНК-320 [2, 3].
В приводе клети каждого прокатного стана (рис.1) имеется
деталь, которая чаще других деталей выходит из строя. Эта деталь определяет лимит
безаварийной работы и устанавливается только по эксплуатационным данным с
учетом материальных и трудовых затрат на ремонт. Опыт эксплуатации показал, что
у автоматстана 220 лимитирующая деталь — предохранительный шпиндель (1), у трехвалкового
стана 80 — карданный шпиндель (2), у клети 350 сортового стана — рабочий валок
(3), у стана ДУО-140 — универсальный шпиндель (4).


Общая долговечность линии привода рабочей клети прокатного стана зависит от долговечности каждой ее детали, при этом учитывается, что повреждение одной детали может значительно ускорить выход из строя остальных.
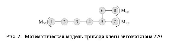
Математическая модель привода (далее
рассматривается автоматстан 220) представляет собой 8-массовую диссипативную
крутильную систему (рис.2), движение которой описывается дифференциальными
уравнениями второго порядка:
, (1)
где
— векторы-столбцы
угловых ускорений, скоростей и перемещений массивных элементов соответственно; А — диагональная матрица моментов
инерции вращающихся масс; В —
квадратная симметричная «ленточная» матрица коэффициентов демпфирования; C — квадратная симметричная «ленточная» матрица жесткостей
квазиупругих связей; М —
вектор-столбец внешних возмущающих моментов (момент электродвигателя Мэд
и моменты прокатки Мпр).


Система дифференциальных уравнений движения (1) в
развернутом виде была решена на ЭВМ в среде MathCAD методом Рунге-Кутты.
В результате решения получены графики моментов
сил упругости на всех участках привода. Сравнение компьютерных графиков
с осциллограммами показало удовлетворительный результат: средняя по сортаменту
ошибка сравнения по амплитудам — 15%,
по частоте колебаний — 7%.
Литература
1. Мальцев А.А. Разработка методики расчета долговечности элементов приводов прокатных станов. Автореф. диссертации кандидата технических наук: спец. 05.03.05 [защищена в МГТУ им. Н.Э. Баумана]. — М.: 2005. — 16с.
2. Мальцев А.А. Прогнозирование циклической выносливости деталей прокатных станов. — Lambert Academic Publishing, Германия. 2013. — 64с.
3. Прогнозирование долговечности деталей главной линии «ПНК-320» / Мальцев А.А., Русаков А.Д., Даева Н.Н. // Вестник МГТУ им. Н.Э. Баумана. — — 2012. — №4 (89). — С.86 – 93.