Ôèçèêà /2.Ôèçèêà òâåðäîãî òåëà.
Usmanov N.N., Volf N.V, Starokurov Yu. V. ,
Buyda A.V., Saletsky A.M.
Moscow State
University, Russia
In this work, the garnet films with
orientation (210) were studied. The
investigated samples have the angle of slope of the easy magnetization axis in respect to the normal to the surface of the film
1) Q=30°, 2) Q=46°, thickness h=13 mm and
h=11 mm, spontaneous magnetization MS=5 Gs and MS=3.4
Gs accordingly. The domain structure was observed at the magnetooptical unit by means of Faraday effect. The samples brought to
saturation state by the constant bias field HS=22 Oe and HS=18
Oe for the first and second samples respectively.

Fig.1.The dependencies 1-w(tf/Hz), . Fig.2. The dependencies
1-w(tf/Hz)
2- td(tf /Hz) for the sample 1. 2-td(tf/Hz) for the sample 2.
The bias field was
perpendicular to the surface of the film. The remagnetization of the films done
by the impulse linear increasing field Hz with frequency 1 kHz. The field Hz had
opposite direction to the bias field. The speed of increasing of this external
field Hz was varied. We observed
the delay of the start of the remagnetization process registered by
photomultiplier relatively to the start of the external field impulse. The
dependencies of the photoresponse delay td on tf/Hz are shown in fig.1,2.
The domains of the opposite directed magnetization
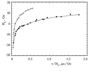
appearance in the different summary external fields H0 if the
steepness of the impulse was varied. The values of the summary field H0
are shown by light and dark rounds for the 1-st and the 2-nd films respectively in fig.4. Light and dark triangles corresponded to the values of these fields
were obtained by high speed laser
photography technique. In this case the single rectangle impulse of external
field Hz was applied. The samples from saturation state brought to
the another saturation state under the action of impulse magnetic field Hz
.The appearance opposite directed domains during back front impulse are tested
visual by high speed photography.

Fig.3.
We observed the hysteresis loops for the investigated
films using the rectangle impulses followed with frequency 1 kHz. The steepness
of the increasing of the impulse field Hz was varied. Bias fields HS
were constant.
The hysteresis loops for both samples transformed from
quasi-static form to rectangle when the steepness was increasing up to 50 Oe/ms. The form of
the loops is shown in fig.3. of external field for the opposite oriented domain
appearance time are shown in fig.1,2. The minimal energy density corresponds to
shift from remagnetization by movement of end domain wall and remagnetization
by increasing of strippe domains.

Fig.4. The dependencies H0(/H)
for both samples. Triangle marks accords to the data obtained byhigh speed photography.
For small steepness of increasing of the
external field the remagnetization process starts when the value H0
approaches to the value H0 in case
of quasi-static remagnetization . The field H0 can be greater than saturation field if the external field has the
great steepness of the increasing. The areas of hysteresis loops enlarge many
times. The energy losses increase.
REFERENCES
1. Randoshkin
V.V., Saletsky A.M., Usmanov N.N. Relaxation under Pulsed Magnetization
Reversal of monocrystalline Films of (Bi,Lu)3(Fe,Ga)5O12
with orientation (210). Physics of the Solid State, v.44(4), 2002.
2.
Usmanov N.N.., Ilicheva E.N., Shishkov A.G. The investigation of the motion of domain
walls in ferrite-garnet films with orientation (210). Vestnik Mosk. Univ.
Physics Astronomy, v.36(5), 1995.