MATHEMATICS / 4. Applied
Mathematics
Iskakova A., Estavletova Sh.
L.N. Gumilev Eurasian National University, Astana, Kazakhstan
About
unbiased estimators for discrete distribution of sums of random variables
Introduction. As was noted in [1], issues of legal violations by minors in Central
Asia, particularly in Kazakhstan, the last few years strongly become
aggravated. For example, on the basis of statistical data, which were provided
by the Agency of the Republic of Kazakhstan on Statistics (see [2]), in Table 1
we can see the dynamics of the number of crimes by minors in the Rudny town
(Kostanay region, Kazakhstan). Note that the population of the Rudny town is
about 128 thousand.
Table 1.
Dynamics of the number of crimes by minors in the Rudny town (Kostanay
region, Kazakhstan).
|
|
2007 |
2008 |
2009 |
2010 |
2011 |
2012 |
2013 |
2014 |
2015 |
|
The number of crimes by minors |
60 |
21 |
17 |
21 |
1 |
23 |
22 |
10 |
9 |
Obviously, the dynamics of minors delinquency depends from the following
factors (see[3-7]): economic (price increases, low income of the general
population, the demographic structure of the population), social (the sharp
deterioration in the psychological climate in families of the unemployed,
alienated parents from the responsibility for the education of children, forced
to search for minors own sources of income devaluation of family values, the
institution of marriage as the basis of a normal life of people in the
community) and legal factors (changes in the criminal law, expanding or
narrowing the scope of a criminal offense and, changing the classification and
qualification of crimes and crime detection).
Thus, the probability values of number of crime among minors amounts
depend on the probability of the impact of relevant factors. And the study of
the probability of the number of crimes that are presented as the sum of the
relevant factors, the most realistic, than the study of the probability of the
number of crimes without concretizing these factors. Of course of the theory of
probability it is clear that these factors have a polynomial distribution (see
[8]).
Any crime committed minors, is a consequence of the
influence of group of factors. Let’s that the crime x is influenced N factors
with some degree of the actions. Define for each factor the one of the possible
values l1, l2, ..., ln with the corresponding values of the probabilities p1, …
, pn , and 
.Let’s
that the crime u is influenced k factors. And
the factor l1 influenced
the crime õ the
r1 times, the factor l2 influenced the crime õ the r2
times and so forth the factor ln influenced the crime õ the rn
times. It’s obvious that
.
We
have the following from course of combinatorics (see. [15]). The number of of
all possible influences k factors, in which the
factor l1 influenced
the crime u the r1 times, the factor l2 influenced
the crime õ the
r2 times and so forth the
factor ln influenced the crime õ the rn
times, is defined as
.
The
probability that the crime õ was dependent on k factors, in which the factor l1 influenced the crime õ the r1 times, the factor l2 influenced the crime õ the r2
times and so forth the factor ln influenced the crime õ the rn
times, is
, (1)
where volues p1, …
, pn are probabilities of
factors l1, l2, ..., ln influenced the crime õ. The
formula (1) is the polynomial distribution of probability (see [15]).
Consider the
dynamics of crimes of minors in the Rudny town (Kostanay region, Kazakhstan)
presented in Table 1.
Let us assume that the economic factor can affect the
state of crime among adolescents with probability 0.7, the 2nd factor with 0.2,
3rd with 0.1. Proposed partitions of the factors affecting the dynamics of
juvenile delinquency in the Rudnyy town (Kostanay region, Kazakhstan) are
presented in Table 2.
Table 2.
Proposed partitions of the factors affecting the dynamics of juvenile
delinquency in the Rudnyy town (Kostanay region, Kazakhstan)
|
|
2007 |
2008 |
2009 |
2010 |
2011 |
2012 |
2013 |
2014 |
2015 |
|
|
The number of crimes by minors |
60 |
21 |
17 |
21 |
1 |
23 |
22 |
10 |
9 |
|
|
Partition 1 |
Factor 1 |
30 |
20 |
15 |
15 |
1 |
10 |
20 |
5 |
5 |
|
Factor 2 |
20 |
1 |
1 |
6 |
0 |
10 |
1 |
3 |
3 |
|
|
Factor 3 |
10 |
0 |
1 |
5 |
0 |
3 |
1 |
2 |
1 |
|
|
Partition
2 |
Factor 1 |
45 |
15 |
16 |
18 |
0 |
15 |
20 |
5 |
5 |
|
Factor 2 |
10 |
6 |
1 |
3 |
1 |
5 |
1 |
4 |
4 |
|
|
Factor 3 |
5 |
0 |
0 |
0 |
0 |
3 |
1 |
1 |
0 |
|
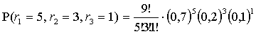
Partition Configuration of factors there is a
significant set. So for the first embodiment of partitions factors for 2015
have
.
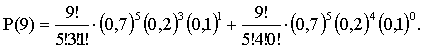
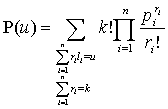
Let’s we have the crime u, which is the sum k
factors. In other words
.
Last
formula is formula of partitions of u on parts l1, l2,
..., ln with the number of partitions n.
The probability that the sum of k factors influence the crime x
is equal to u, is defined by the formula
.
Thus, for datas of Table 2 for 2015 we have
![]()
Discussion &
Conclusion. Presented
probabilistic model of surveillance reveals the problem need detailed approach
to the study of factors affecting the dynamics of juvenile delinquency.
References:
1. Bimbetov A. B. Ultimate Fact
Distinctions in Criminal Cases Involving Juveniles in the Russian Federation
and the Republic of Kazakhstan //Middle-East Journal of Scientific Research. –
2013. – Ò. 13. – ¹. 5. – Ñ. 636-639.
2. Mersky J. P., Topitzes J., Reynolds
A. J. Unsafe at any age linking childhood and adolescent maltreatment to
delinquency and crime //Journal of research in crime and delinquency. – 2012. –
Ò. 49.
– ¹. 2. – Ñ. 295-318.
3. Hinduja S., Patchin J. W. Social
influences on cyberbullying behaviors among middle and high school students
//Journal of youth and adolescence. – 2013. – Ò. 42. – ¹. 5. – Ñ. 711-722.
4. Belkin M., Sinha K. Polynomial
learning of distribution families //SIAM Journal on Computing. – 2015. – Ò. 44. – ¹. 4. – Ñ. 889-911.
5. Cole B., Chipaca A. Juvenile
delinquency in Angola //Criminology and Criminal Justice. – 2014. – Ò. 14. – ¹. 1. – Ñ. 61-76.
6. Veltri C. O. C. et al. Distinguishing
Personality Psychopathology Five (PSY–5) characteristics associated with
violent and nonviolent juvenile delinquency //Journal of personality
assessment. – 2014. – Ò. 96. – ¹. 2. – Ñ. 158-165.
7. Coleman J. S. et al. Introduction to
mathematical sociology //London Free Press Glencoe. – 1964.
8. Anderberg M. R. Cluster analysis for
applications: probability and mathematical statistics: a series of monographs
and textbooks. – Academic press, 2014. – Ò. 19.
9. Fine T. L. Theories of probability:
An examination of foundations. – Academic Press, 2014.
10. Nelson R. Probability, stochastic
processes, and queueing theory: the mathematics of computer performance
modeling. – Springer Science & Business Media, 2013.
11. Percus J. K. Combinatorial methods. –
Springer Science & Business Media, 2012. – Ò. 4.
12. Panaretos J., Xekalaki E. On generalized binomial and multinomial
distributions and their relation to generalized Poisson distributions. // Ann. Inst. Math.
1986.V.38.Part A. P. 223 – 231.
13. Ayman I. Construction of the most suitable
unbiased estimate distortions of radiation processes from remote sensing data
//Journal of Physics: Conference Series. – IOP Publishing, 2014. – Ò. 490. – ¹. 1. – Ñ. 012113.
14. Iskakova A., Ibragimov B. A method for determining an unbiased estimate // Nauka i Studia. – Przemyśl: Nauka i studia. - NR 7 (52),
2012. –P. 86-91.