Математика/ 4.Прикладная
математика
Еставлетова Ш. А., Искакова
А.С.
1.
Введение. Одним из индикаторов, характеризующих социальное здоровье
общества, является преступность несовершеннолетних. Состояние преступности, как
правило, достаточно точно отражает степень благополучия социальной ситуации.
Вероятностное изучение
всех количественных показателей преступлений опирается на вероятность влияний
соответствующих факторов. Из курса теории вероятности очевидно, что данные
факторы можно рассмотреть как полиномиально распределенные. Однако,
распределение вероятности суммы полиномиально распределенных случайных величин
и его применение в социальных исследованиях в научной литературе имеется в [1,
с. 79], [2, с. 012113], [3,
с. 86].
2. Построение вероятностной
модели событий зависимых от факторов. Любое преступление,
совершенное несовершенолетними, является последствием влияния группы факторов.
Допустим, что на преступление x влияет N факторов с некоторой
степенью действия. Определим каждый фактор одним из возможных чисел l1, l2, ..., ln с соотвествующими значениями
вероятностями p1, … , pn , и

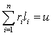
Пусть на преступление u могут влиять k факторов с возможными повторениями. Причем фактор l1 повлиял на преступление х r1 раз, фактор l2 повлиял на преступление х r2 раз и так далее фактор ln повлиял на преступление х rn раз. Очевидно, что
.
Теорема 1. Количество всевозможных влияний k факторов с повторениями, при которых фактор l1 повлиял на преступление u r1 раз, фактор l2 повлиял на преступление х r2 раз и так далее фактор ln повлиял на преступление х rn раз, определяется как
.
Доказательство очевидно из курса комбинаторики (см. [4,
с. 19]).
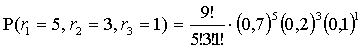
Теорема 2. Вероятность того, что на преступление х повлияли k факторов с повторениями,
при которых фактор l1 повлиял на преступление х r1 раз, фактор l2 повлиял на преступление х r2 раз и так далее фактор ln повлиял на преступление х rn раз, есть
, (1)
где значения
p1, … , pn определяют
вероятности (или частности) влияния фактора с соответствующим числом l1, l2, ..., ln на преступление
х.
Доказательство. Очевидно, что в данном случае мы имеем
полиномиальное распределение вероятностей, которая имеет форму (1) (см. [5, c.223])
Теорема доказана.
Пример 1. При
обзоре анализа динамики преступности среди несовершеннолетних по городу Рудный
(Кустанайская область, Казахстан) имеем данные, представленные в таблице 1.
Таблица
1.
Динамика
преступности среди несовершеннолетних по г. Рудный (Кустанайская область,
Казахстан)
|
Год |
2007 |
2008 |
2009 |
2010 |
2011 |
2012 |
2013 |
2014 |
2015 |
|
Количество
преступлений |
60 |
21 |
17 |
21 |
1 |
23 |
22 |
10 |
9 |
Допустим, что экономический фактор может повлиять на состояние преступности
среди подростков с вероятностью 0,7, 2-й фактор 0,2, 3-й – 0,1.
Предположительные варианты разбиений факторов, влияющих на динамику
преступности среди несовершеннолетних по г. Рудный (Кустанайская область,
Казахстан) представлены в таблице 2.
Таблица
2.
Предположительные
варианты разбиений факторов, влияющих на динамику преступности среди
несовершеннолетних по г. Рудный (Кустанайская область, Казахстан)
|
Год |
2007 |
2008 |
2009 |
2010 |
2011 |
2012 |
2013 |
2014 |
2015 |
|
|
Количество
преступлений |
60 |
21 |
17 |
21 |
1 |
23 |
22 |
10 |
9 |
|
|
Вариант 1 |
Фактор 1 |
30 |
20 |
15 |
15 |
1 |
10 |
20 |
5 |
5 |
|
Фактор 2 |
20 |
1 |
1 |
6 |
0 |
10 |
1 |
3 |
3 |
|
|
Фактор 3 |
10 |
0 |
1 |
5 |
0 |
3 |
1 |
2 |
1 |
|
|
Вариант 2 |
Фактор 1 |
45 |
15 |
16 |
18 |
0 |
15 |
20 |
5 |
5 |
|
Фактор 2 |
10 |
6 |
1 |
3 |
1 |
5 |
1 |
4 |
4 |
|
|
Фактор 3 |
5 |
0 |
0 |
0 |
0 |
3 |
1 |
1 |
0 |
|
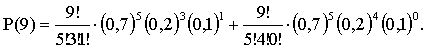
Вариантов разбиений факторов существует значительное множество. Так для
первого варианта разбиений факторов для 2015 года имеем
.
3.
Вероятностное
распределение суммы факторов влияющих на преступление. Допустим, имеем некоторое преступление со значением u, представляемое сумму k значений
факторов, повлияющих на преступление х.
То есть
. (2)
Последняя
формулая явлется формулой разбиения числа u на
части l1, l2,
..., ln числом разбиений n.
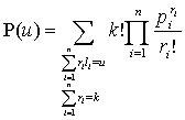
Теорема 3. Вероятность
того, что сумма чисел на k
повлияющих факторах с повторениями на преступление x равна u,
определяется по формуле
.
Доказательство. Разумеется, что, если имеет место разбиения u на l1,…,
ld,
то система уравнений

имеет
один или более решений. Вероятность каждого разбиения u на l1,…,
ld, определяется теоремой
3. Таким образом, пришли к доказательству теоремы.
Теорема
доказана.
Пример 2. Из
примера 1 допустим возможны только два варианта разбиений факторов, которые
представлены в таблице 2. Так для первого для 2015 года имеем
![]()
1.
Искакова А. С. Определение наиболее
подходящей несмещенной оценки вероятности оправдываемости прогноза в
метеорологии //Сибирский журнал индустриальной математики. – 2002. – Т. 5. – №.
1. – С. 79-84.
2.
Ayman I. Construction of the most suitable
unbiased estimate distortions of radiation processes from remote sensing data
//Journal of Physics: Conference Series. – IOP Publishing, 2014. – Т. 490. – №.
1. – С. 012113.
3.
Iskakova A., Ibragimov B. A method for determining an
unbiased estimate // Nauka i Studia. –
Przemyśl: Nauka i studia. - NR 7 (52), 2012. –P. 86-91.
4.
Сачков В. Н. Комбинаторные
методы дискретной математики. – Издательство" Наука", Главная
редакция физико-математической литературы, 1977.
5.
Panaretos J., Xekalaki E. On generalized binomial and
multinomial distributions and their relation to generalized Poisson
distributions. // Ann. Inst. Math. 1986.V.38.Part A. P. 223 – 231.